请选择 进入手机版 | 继续访问电脑版
楼主: 小王爱吃羊
718 4

[经管数据集] 【更新至2023】资本市场估值偏误2023-2000剩余收益模型RIM估计含Stata代码参考 [推广有奖]

  • 1关注
  • 6粉丝

已卖:896份资源

教授

1%

还不是VIP/贵宾

-

威望
0
论坛币
517 个
通用积分
27.3143
学术水平
424 点
热心指数
426 点
信用等级
424 点
经验
28018 点
帖子
496
精华
0
在线时间
657 小时
注册时间
2024-9-24
最后登录
2025-12-31

20周年荣誉勋章 初级热心勋章 中级热心勋章

小王爱吃羊 学生认证  发表于 2024-10-17 10:33:33

+2 论坛币
k人 参与回答

经管之家送您一份

应届毕业生专属福利!

求职就业群
赵安豆老师微信:zhaoandou666

经管之家联合CDA

送您一个全额奖学金名额~ !

感谢您参与论坛问题回答

经管之家送您两个论坛币!

+2 论坛币
数据介绍:
  • 年份:2000-2023
  • 围:A股上市公司
  • 三个版本:资本市场估值偏误(未剔除金融STPT)、资本市场估值偏误(已剔除金融STPT)
  • 文件格式:Dta格式(使用Stata打开)、Xlsx格式(使用Excel打开)
  • 注:提供了剔除所需数据和剔除代码,若无需做该项剔除处理,自行删除相关代码重新运行即可
  • 行业参照证监会2012年行业分类标准,制造业用二级行业分类,其他用一级分类来计算并对连续型变量进行了1%和99%分位数的缩尾处理
  • 代码格式:do文件(Stata 14/15/16/17/18)

文件.png




计算说明

         首先,我们采用内在价值与市场价值之比V/P度量上市公司市场价值对内在价值的偏离程度。上市公司每股内在价值V由剩余收益模型(RIM)估计得出,P为该公司股票当年所有交易日收盘价的平均值。V/P=1表明上市公司市值(理论上)完美地体现了内在价值;V/P<1表明市场高估了上市公司的内在价值,且V/P越小说明内在价值被高估的程度越严重;V/P>1则表明市场低估了上市公司的内在价值,且V/P越大说明内在价值被低估的程度越严重。
在此基础上,我们不考虑市场价值对内在价值偏离的方向,构建变量Deviation=|1-V/P|度量市场价值对内在价值的绝对偏离程度。Deviation的取值范围为(0,+∞),取值越大表明上市公司市场价值对内在价值的偏离越严重。

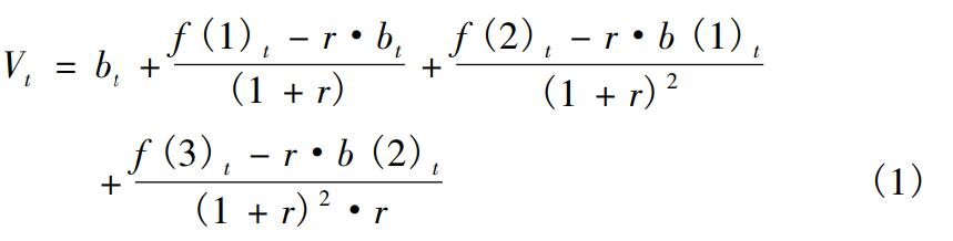
      构建变量V/P和Deviation的关键步骤是计算上市公司的内在价值V,剩余收益模型(RIM)是常用的方法之一(Kothari,2001)。剩余收益模型的基础是股利折价模型,在每股权益账面价值、现金股利和每股收益满足干净盈余关系时,公司的内在价值可以用账面价值和未来预期收益表示(Ohlson,1995)。Frankel and Lee(1998)在未来第三年的盈余能够持续的假设下,运用未来三期的分析师预测数据估计股票内在价值,将剩余收益模型改写成:

1.png

    上式中V为每股内在价值,f()为分析师预测的公司盈余,b为每股权益账面价值,r为资本成本。然而,饶品贵和岳衡(2012)指出,由于分析师预测盈余时存在比较乐观、滞后于整体市场预期、存在样本选择偏差以及我国证券分析师数量较少等原因,在我国采用分析师预测数据进行剩余收益模型估计存在一定缺陷。因此,本文在使用上式估计上市公司内在价值时,借鉴饶品贵和岳衡(2012)的思路,采用Hou et al.(2012)的预测方法预测公司未来一至三年的盈余,并将其作为RIM的输入变量估计公司内在价值。Hou et al.(2012)采用的预测模型如下:

2.png



其中

· 5.png

是公司i未来一至三年的每股盈余,等于营业利润除以总股本

· Asset和Dividend分别是每股总资产和每股现金股利

· DD为是否发放股利的虚拟变量,公司若发放则取值1,否则取值0

· Earnings是公司当年的每股盈余

· NegEn为公司是否亏损的虚拟变量,若亏损则取值1,否则取值0

· Accrual是每股应计项目,采营业利润减去当年经营活动产生的现金流量净额获得

      本文采用式(2)估计获得的系数预测每一年公司未来一至三年的每股盈余,并将其代入式(1)中估计公司的内在价值。在利用(1)式进行公司内在价值估计时,我们还对公司未来两期的每股权益价值进行了预测,采用的公式分别为

3.png


4.png



式中Dps为每股现金股利。同时有研究表明,在使用估计的内在价值V做截面回归时,选择不同的资本成本r对分析结果影响不大,为简便起见,选用5%的固定资本成本。




参考文献


  • 徐寿福, 徐龙炳. 信息披露质量与资本市场估值偏误[J]. 会计研究, 2015(01):42-49+98.

参考.png






代码:

代码.png



数据量:

数据量.png



描述性统计:

描述性统计.png



结果数据


结果数据.png



【更新至2023】资本市场估值偏误2023-2000剩余收益模型RIM估计含Stata代码参考 (76 Bytes, 需要: RMB 38 元)


二维码

扫码加我 拉你入群

请注明:姓名-公司-职位

以便审核进群资格,未注明则拒绝

关键词:剩余收益模型 Stata 资本市场 tata Rim

已有 1 人评分学术水平 热心指数 信用等级 收起 理由
学软件我快乐 + 1 + 1 + 1 精彩帖子

总评分: 学术水平 + 1  热心指数 + 1  信用等级 + 1   查看全部评分

学软件我快乐(未真实交易用户) 发表于 2024-10-17 14:58:56
已买,谢谢分享

のgmの(未真实交易用户) 发表于 2024-10-17 23:49:48
谢谢分享

cky.cc(真实交易用户) 学生认证  发表于 2024-10-20 13:35:04
谢谢分享

您需要登录后才可以回帖 登录 | 我要注册

本版微信群
扫码
拉您进交流群
GMT+8, 2026-2-19 15:09