- 相关分析用于研究定量数据之间的关系情况,包括是否有关系,以及关系紧密程度等.此分析方法通常用于回归分析之前;相关分析与回归分析的逻辑关系为:先有相关关系,才有可能有回归关系。
- SPSSAU操作如下图:

- 将数据放入分析框中,在SPSSAU系统中可以对应的选择Pearson相关系数、Spearman相关系数,Kendal相关系数,此案例选择Pearson相关系数结果如下:

- 分析结果解读以及计算公式:
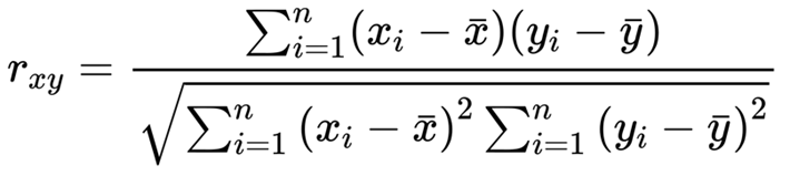
(1)Pearson相关系数:


(2)Spearman相关系数:


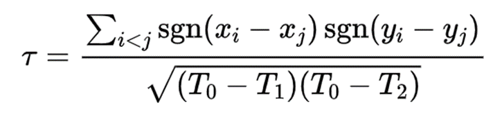
(3)Kendal相关系数:


- 从上表可知,利用相关分析去研究城乡居民储蓄存款余额分别和国民收入(亿元)共1项之间的相关关系,使用Pearson相关系数去表示相关关系的强弱情况。具体分析可知:城乡居民储蓄存款余额和国民收入(亿元)之间的相关系数值为0.976,并且呈现出0.01水平的显著性,因而说明城乡居民储蓄存款余额和国民收入(亿元)之间有着显著的正相关关系。
- SPSSAU具体操作如下:
(1)点击SPSSAU通用方法里面的‘相关’。如下图:

(2) 拖拽数据后开始分析:

- 参考文献
《SPSS统计分析(第五版)》


雷达卡



京公网安备 11010802022788号







