[color=rgba(0, 0, 0, 0.3)]
引 言
最近半个世纪,全球无风险利率中枢一直处于下行趋势。2012年7月,丹麦开始实施负利率,开启了发达经济体的“负利率时代”。之后,欧洲、瑞士、瑞典、日本等地区和国家的央行,都逐渐将超额准备金、隔夜拆借利率、短期回购利率等降到以下。长期利率的下降趋势,尤其是颠覆经典货币经济学和货币政策理论的负利率,引起了经济学者和政策当局的关注。关于名义利率长期走低的原因解释有很多,如长期经济增长停滞(Summers ,2014),人口老龄化带来的货币需求下降(Michael & Kieke,2018)、全球流动性过剩(Winifred & Khelifa ,2018)等,而最为直接原因的则是全球持续宽松的货币政策。
量化宽松和利率降低后引发的贫富差距急剧扩大成为备受关注的议题。有学者认为负利率可以看作是对银行存款的一种“税收”,可以起到对富人征税的效果,从而缩减贫富差距。但是现实表现似乎恰恰相反,在利率不断下降直至为负的过程中,贫富差距反而在不断上升。2009年次贷危机发生后,民众对政府拿着纳税人的钱拯救华尔街金融大鳄的行为产生不满,发生了“占领华尔街”的游行示威活动。2020年疫情爆发后,美国政府快速降低利率并向符合要求的家庭和个人直接发放救济和补贴。彭博社亿万富豪指数的数据显示,截至2020年10月美国最富有的50人的财富总值较年初增加了3390亿美元,但低收入阶层的财富却在减少。此外,美联储2021年《家庭财富报告》显示,美国最富有的10%的人群持有美国股市市值90%以上的股票。究其根源,疫情导致的失业和收入下降固然是重要原因,但利率下降和货币宽松带来的金融资产价格大涨则是最为直接的原因。
这些现象为我们对利率走势与贫富差距之间关系机理和传导路径的思考提供了一个重要视角,即资产结构视角。基于不同收入人群的财富结构差异,本文构建了一个根据资产负债结构划分为富人和穷人阶层的模型,试图从理论和实践两个层面解释次贷危机和疫情发生后,货币宽松和利率降低引发的贫富差距问题。本文的边际贡献在于:第一,拓展利率走势与贫富差距的研究。现有研究主要集中于利率降低对宏观经济层面的影响,本文聚焦于微观个体层面,从不同人群财富结构异质性角度出发,创新性的构建“投资恩格尔系数”考察利率走势对贫富差距的作用机制。第二,深化关于贫富差距的研究。现有研究大多从资产端的收入来源与分配差异性角度展开,少有关于负债端的差异性研究,本文从资产端与负债端两个方面考察利率走势对贫富差距的影响。第三,实证检验中的群体异质性研究。本文不仅从总体上考察了利率走势对贫富差距的影响,还将样本国家按照经济体的发达程度进行异质性分析,进一步研究处于不同发展阶段国家的利率变动对贫富分化的不同影响,并对作用机理进行常识性的探索与解释。
01
文献综述
(一)金融化发展与贫富差距
贫富差距是各个国家和地区在经济发展时期都会遇到的问题,贫富差距产生的原因一直是社会研究的热点,研究文献也汗牛充栋。在比较经典的理论学说方面,Simon Kuznets(1955)提出了“倒U型曲线”理论,他认为工业化对城乡收入不均会产生一定影响,随着经济的发展贫富差距会逐渐改善。但是,贫富分化不仅仅是经济发展到一定阶段的产物,也是多种因素共同作用的结果,诸多学者还从制度与生产力的发展的不充分性(Piketty,2014)、经济复杂性(Dominik et al.,2017)、初始财富差异(Nardi et al.,2010)以及金融素养与家庭资产配置(吴卫星等,2018;杜春越和韩立岩,2013)等角度论证贫富差距产生的原因。
自20世纪80年代,金融成为“现代经济体系的核心”后,金融和货币等“虚拟变量”成为学术上研究贫富差距的重要因素。众多研究成果表明,金融的快速发展造成了穷人与富人之间收入差距的扩大。首先,从收入来源来看,薪酬收入的提高并不足以导致贫富差距的急剧扩大,而金融化造成劳动收入比重下降,加剧财富和收入分配的不均衡(Haan & Sturm,2017),财产性收入的差距越来越明显(费舒澜,2017)。高收入人群资本收入明显加大,资本收入分配不平衡的贡献开始增强。其次,从资产结构来看,金融性资产的分布差异成为财产分布不平等的主要来源之一(李实和朱梦冰,2018)。不同财富水平的居民持有金融资产的份额之差呈现扩大趋势,而财富的不断累积进一步恶化了这种不平等发展趋势(Alexandra K et al.,2017 ;Jess Benhabib et al.,2019)。第三,从财富的随机回报方面来看,财富所具有的随机回报特质或收益风险会导致财富的不均衡分配。当财富积累到一定程度时,财富的回报率会存在“规模经济”效应(Kacperzyk et al.,2015),即随着财富的增加,财富的回报率随之上升,进一步加剧了财富分配的偏倚性。
(二)利率走低与贫富差距
在金融危机中,西方发达国家纷纷通过降低市场利率的货币政策手段来促进本国经济复苏,导致了超低利率环境的出现,引发一系列不良后果。首先,低利率政策可能导致经济过度膨胀并推高杠杆。低利率提高了投资者风险偏好,大量金融资源被配置到更高风险资产当中,导致经济“脱虚向实”,影响潜在产出(李宏瑾,2018),资产价格泡沫化式提高(黄鑫和周亚虹,2012;马理和黎妮,2017),而投机性金融资产带来的伪财富效应不仅会影响人们的消费决策,甚至可能造成宏观经济波动。其次,低利率政策具有跨国影响。Fratzscher et al.(2012)发现美国量化宽松政策显著降低了美国及其它65个国家的国债收益率水平。例如美国实行的大规模资产购买计划在降低本国债券的长期收益率的同时,也降低了外国债券的长期收益率(Bauer & Neely,2014)。
贫富差距的扩大在一定程度上也是由不断走低的利率引起的。张鹏和赵建(2019)发现近年来美国的贫富差距急剧扩大在一定程度上是由长期低利率环境引起的。负利率提升了即期资产的价格(巴曙松等,2021),资产价格的变动使财富在不同阶层进行再分配(Kuhn et al.,2020)。在全球经济增长缓慢和新冠病毒蔓延的背景下,一些国家实施低利率政策不仅影响了本国金融市场,更是对全球市场都产生了广泛性影响。然而,低利率政策难以达到促进经济复苏的作用(马理等,2018),反而可能将危机救助成本转嫁给民众并且加剧了资产泡沫,进一步恶化了贫富差距(苏乃芳和李宏瑾,2021)。
综上所述,大部分的已有研究支持利率下降会加剧贫富分化,但是并没有对两者关系的内在作用机理进行系统深入的研究。尤其是,没有从居民的异质性财富结构和资产负债表等微观视角进行深入分析,也就无法解释当前存在的“负利率是对富人财富征税,从而可以缩减财富差距”的错误流行结论。本文在已有研究的基础上,从异质性的财富结构入手,创新性的构建了一个“投资恩格尔系数”,分别研究了利率下降对富人和穷人财富的不同影响,并运用全球面板数据进行实证检验,进一步印证了利率走低引发贫富差距恶化的结论。
02
理论模型与主要假说
(一)金融资产结构的差异
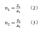
恩格尔系数是食品支出占个人消费支出总额的比重,用以衡量一个家庭或一个国家的富裕程度。借鉴这个思路,本文用“投资恩格尔系数”来衡量家庭的资产结构及富裕程度。本文将投资恩格尔系数定义为货币、存款类等金融资产占总金融资产的比重,即:

假设经济金融系统中存在两类代表性代理人,收入水平和财富总量高的称为富人,收入水平和财富总量低的称为穷人。富人的投资恩格尔系数为n1,货币、存款类资产总额为Z1,金融资产总额为A1;穷人的投资恩格尔系数为n2,货币、存款类资产总额为Z2,金融资产总额为A2,则:

一般来说,富人的金融资产比较多元化,存款和现金等高流动性、低收益资产占比较低,股票、房产等高收益型风险资产占比较高,这些资产一般都具有市场公允价值和抵押品价值,在价格上涨时可通过抵押提高信用能力,进一步扩张资产负债表来扩大财富。而穷人的资产结构则相反,穷人的主要收入来源是工资性收入,持有的大多是现金、存款等“低等”金融资产,他们用于日常生活支付的存款和现金类资产占比较高,股票和房产等风险资产占比很低,因此具有几乎与富人阶层迥异的资产负债表。与穷人相比,富人拥有更低的投资恩格尔系数,即n1<n2。
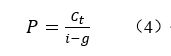
根据资产定价理论,金融资产价格与利率的变动息息相关,我们以式(4)模型来描述无风险利率与资产定价之间的相关关系。其中,P为金融资产的价格,Ct为资产在t时刻产生的现金流,即股息或债券利息收入,i为利率,g为企业增长率每期递增比率。

根据式(4)可知,金融资产的价格与利率之间呈反向变动的关系。因此,当利率水平下降时,现金类、存款类资产的收益会遭受一定的利息损失。相反,房产类、权益类、基金类等可用公允价值计量的资产价格则会上涨,而且与巨大的资产价格上涨相比,利息类资产的损失可以说显得微不足道。因此,当利率水平下降时,对富人而言,虽然现金、存款类资产承受了一定的利息损失,但是金融资产市场价值的上升带来了金融资产总量的大幅增加。对穷人而言,利率的下降使得存款类的收益减少,但是穷人并未享受到金融资产价格上涨带来的资本利得收益。
基于上述分析可初步得到以下合理性判断:第一,利率变动主要通过增加以公允价值计算的风险资产的价值来扩大贫富差距,而现金、存款类的利息变动对金融资产总额的影响并不大。第二,利率变动对富人的金融资产总额变动影响较大,但穷人的金融资产总额对利率变动缺乏敏感度。因此,本文假定穷人持有的现金、存款等“非标”类资产,由于缺乏二级市场进行公允定价,其价值不受利率变动的影响。这样,富人的金融资产价值是利率的函数,而穷人的金融资产价值与利率变动无关。假设富人与穷人的金融资产总额之比为。显然的数值越大,说明贫富分化程度越严重。

当利率水平下降时,富人与穷人的金融资产总额的比值增加,贫富差距进一步扩大。由此,提出本文第一个假设:
假说一:当利率水平下降时,因为金融资产结构的差异,资产价格的上涨会导致拥有不同投资恩格尔系数的穷人和富人的财富增值幅度不同,贫富差距会进一步加大。
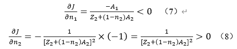
投资恩格尔系数反映了现金、存款类资产占总金融资产的比重,富人与穷人投资恩格尔系数的变动同样会对贫富差距的变动产生影响。将式(5)分别对n1、n2求偏导得:

因此,当富人的投资恩格尔系数变小时,或是穷人的投资恩格尔系数变大时,富人与穷人的金融资产总额的比值会进一步扩大。就国家层面而言,由于不同国家金融发展程度不同,一国整体的投资恩格尔系数也存在差异。与发展中国家相比,发达国家的金融市场更加成熟、金融体系更加完备,往往具有更低的投资恩格尔系数,而发展中国家易出现金融抑制问题,能够获得金融支持的企业与个人数量受到了限制,因此利率冲击对贫富分化的加剧作用更加明显。
假说二:利率水平的下降会通过货币、存款类资产占金融资产比例的变动对贫富差距的扩大产生作用,且对发展中国家有更强的冲击作用。
(二)资产负债结构的差异
在上述假说中,只考虑了穷人与富人金融资产结构的异质性导致的财富在利率水平下降时的增值差异。进一步来看,贫富差距的产生并不仅仅局限于金融资产结构的不同。穷人与富人投资与融资能力的差异使二者在资产与负债结构上存在异质性,也在一定程度上造成了利率水平下降时贫富差距的进一步分化。假设:

其中,A3代表富人的总资产,L1为其负债,E1为其资产净值;A4代表穷人的总资产,L2为其负债,E2为其资产净值。ΔE、ΔA、ΔL分别为净资产变动量、总资产变动量、负债变动量。
首先,从资产端来看,穷人与富人的投资能力存在差异。在利率水平下降时,穷人的资产端并未享受到金融资产公允价值升高带来的价值增值,而富人的总资产得到了较高的价值回报,即:ΔA3>0,ΔA4基本保持不变。
其次,从负债端来看,穷人与富人的融资能力也存在差异。对大多数穷人而言,负债类型较为单一,住房贷款是其债务的主要来源。出于通货膨胀、货币贬值的考虑,大多数人会选择使用工资按照固定利率进行还款。此外,穷人大多缺乏抵押品,信用能力较差,无法进入正规市场进行借贷活动。为了满足其余用途的融资需求,穷人只能通过场外的民间借贷或者高利贷来获得融资。因此,穷人的借贷利率弹性较低,不能随着市场利率的波动而波动。当全球货币大放水时,虽然政策利率降低,但是对穷人偿还利息的负担影响并不大。而在场内进行借贷的富人所支付的债务利息会随着政策利率进行浮动,相对更具有弹性。因此,利率水平的降低能在一定程度上减轻富人债务的偿还负担,但是穷人的债务利息并没有因为政策利率的降低而减轻。即:ΔL3<0,ΔL4基本保持不变。
总体而言,一方面,利率水平的下降会同时给资产端和负债端造成影响,净资产的波动受到资产与负债变动的双重影响。另一方面,利率水平的变动对富人与穷人资产和负债端的作用是非对称的。具体表现在:利率水平下降时,富人的资产端由于金融资产公允价值上升得到了大额的投资回报,负债端由于利率的降低而适当减轻了债务利息的负担,两端同时得到了福利改善。穷人所持有的“低等”金融资产并未享受到资产价格上升带来的红利,而借贷利率大多并不能随着政策利率的降低而降低,债务负担并未得到减轻,两端都基本得不到改善。即:ΔE3>0,ΔE4基本保持不变。因此,利率水平的下降会导致贫富差距进一步加剧。由此,本文提出第三个假说:
假说三:由于富人与穷人投资与融资能力的差异,利率水平的降低在资产与负债两端产生非对称影响,从而进一步拉大贫富差距。
03
计量模型设定及统计度量
(一)实证模型设定
1. 基准回归模型
首先,为了检验利率水平的变化是否造成贫富差距的进一步扩大,本文设定以下基本计量模型:

其中,i表示国家,t表示所在年份,被解释变量top_ratio1是排名前1%国民的收入占全体国民收入的比重,用来衡量一国贫富差距的程度。本文的核心解释变量为各国十年期国债收益率rate_10y,而GDP年度增长率gdp_growth、CPI年度增长率cpi_growth、固定资本形成总值年度增长率capital_growth、政府最终消费支出年度增长率gov_growth 、国民净人均收入年度增长率income_growth 、金融活动的实际年度增长率industry_growth 、失业率是本unemployment文的控制变量,Ui为国家个体固定效应,可以反映属于各国个体特征但不随时间改变的因素带来的影响,Vt为时间固定效应,可以反映各国各年份相关政策带来的冲击,ε_it为误差项。
2. 中介效应检验
(1)基于投资恩格尔系数的中介效应模型
根据理论分析,穷人与富人的金融资产结构存在异质性,越低的投资恩格尔系数会使利率下降时财富的增值越大。为了验证利率下降通过投资恩格尔系数扩大贫富差距的作用机制,在基准回归模型的基础上,参考温忠麟和叶宝娟(2014)改进的中介效应检验方法,通过构建中介效应模型对作用机制进行检验,选取各国货币、存款类资产占金融资产的比重(invest_coefficient)作为中介变量,设定如下中介效应模型:

其中,投资恩格尔系数(invest_coefficient)用来衡量一国居民存款、现金类资产占金融资产比重的大小,X_it代表控制变量。
(2)基于股票指数与成人人均负债增长率的中介效应模型
根据理论分析,利率降低会提升股票、权益类金融资产的价格,但是并不能缓解居民的债务偿还压力。为了检验利率变动在资产端和负债端的非对称影响对贫富差距扩大的作用机制,本文选用各国的股票指数(stock_index)作为资产端的中介变量,选取成人人均负债(debt_level)作为负债端的中介变量。中介效应模型的构建步骤如下:

3. 异质性检验
考虑到利率走势对贫富差距的影响程度可能会因为发达经济体与发展中经济体金融市场发展程度的不同而呈现出异质性。因此,为了验证利率走势对贫富差距的扩大作用对不同经济体的影响程度是否存在差异,在式(12)中引入十年期国债利率与是否为发达经济体的交互项rate_10Yit×DEVit,构建式(21)。

其中,国家是否为发达经济体的虚拟变量在国家为发达经济体时取1,为发展中经济体时取0。
(二)样本、变量选取与说明
1. 样本选取及说明
在数据可得性与完整性基础上,本文选取不同发展程度的国家作为样本,包含发达国家和发展中国家在内的共57个国家1980-2019共40年的数据进行研究。数据主要来源于万德数据库(Wind)、世界经济不平等数据库和各国统计局官方网站。具体国家名称如表1所示:

2. 变量选取及说明
本文的被解释变量是一国排名前1%国民的收入占全体国民收入的比重(top_ratio1),用以衡量一国贫富差距的变化情况。当该比重增加时,说明较少的国民占据了更多的财富,则一国的贫富差距将进一步扩大,反之,则说明该国的贫富差距有所缓解。
本文的核心解释变量是各国十年期国债年收益率(rate_10y),用以衡量一国利率水平的变动情况。目前一国均存在包括短期与长期多种类型的证券,十年期国债收益率被市场视为无风险预期收益率,其他债券也会以此为锚,叠加各自的“信用风险”形成各自的预期收益率。因此,本文选取最具代表性的各国十年期国债年收益率作为核心解释变量。
为了尽可能解决由于遗漏变量导致的偏误问题,本文在计量模型中纳入了一系列控制变量。影响一国贫富差距的因素主要包括经济发展水平、社会物质资本、金融行业发展状况以及人力资本等方面(程名望等,2015)。相关变量的描述统计如表2所示:

04
基于面板计量模型的实证检验
(一)基准回归
本文采用面板回归方法,并控制住时间效应和个体效应。表3报告了利率水平对贫富差距作用的检验结果。列(1)未加入控制变量,回归结果显示,十年期国债收益率对排名前1%国民收入占全体国民收入比重的作用效应在1%的水平下显著为负,系数为-0---------.0375。结果初步表明,利率水平与贫富差距扩大之间为负向效应,即利率水平的下降,会导致排名前1%国民收入占全体国民收入比重提高,更多的财富掌握在少数人手中,贫富差距进一步扩大;列(2)加入了控制变量,回归结果与列(1)相似,十年期国债收益率对排名前1%国民收入占全体国民收入比重的作用效应在1%的水平下仍显著为负,系数为-0.131。 对比可知,无论是否加入控制变量,利率水平的下降对贫富差距的扩大均有显著促进作用。由此验证假说1,利率下降会导致贫富差距的扩大。

(二)中介效应检验
1. 利率变动通过投资恩格尔系数影响贫富分化的机制检验
表4报告了利率水平变动通过投资恩格尔系数影响贫富分化的计量结果,第一列为基准回归。在列(1)中,十年期国债收益率对贫富差距的作用在1%的水平下显著为负;第二列为投资恩格尔系数对利率水平的回归结果。在列(2)中,利率水平对投资恩格尔系数的作用为0.492,在1%的水平下显著为正,即利率水平越低,存款、货币类资产占金融资产的比重越低;列(3)是同时纳入十年期国债收益率与投资恩格尔系数的回归结果,结果显示,十年期国债收益率与投资恩格尔系数均在1%水平下显著,表明中介效应成立,即利率水平的下降会通过货币、存款类资产占金融资产的比例的变动对贫富差距的扩大产生作用,由此验证了假设二的猜想。

2. 利率变动通过资产负债两端的非对称效应影响贫富分化的机制检验
中介效应回归结果如表5所示,列(1)为基准回归,表明利率与贫富差距存在显著的负向作用。列(2)表明利率变动对股票指数存在显著的负向影响,列(4)表明利率变动和股票指数均在1%水平下显著,表明股票指数在利率水平与贫富差距之间发挥部分中介效应。列(3)中利率变动对负债水平影响并不显著,按照温忠麟和叶宝娟(2014)的方法,需要进一步进行bootstrap检验系数乘积,结果如表6所示,a代表式(18)中的θ_1,b代表式(20)中的P2。95%的置信区间并不包含0,表明成人人均债务在利率水平与贫富差距之间发挥完全中介效应。因此,利率水平通过作用与股票指数与成人人均债务水平而进一步扩大了贫富分化,并由此验证了假设三,利率作用于资产端的金融资产价格而拉大贫富差距,但在负债端并未通过减少债务利息而缩减贫富差距,利率下降对资产负债的非对称影响导致贫富差距的进一步扩大。


(三) 异质性检验
表7报告了利率走势对不同经济体贫富差距影响程度的异质性检验结果,列(1)结果显示,十年期国债利率(rate_10y)的系数显著为负,十年期国债与是否为发达经济体的交乘项(rate_10Yit×DEVit)系数显著为正,说明利率走势降低对贫富差距的扩大作用在发展中国家表现更强。原因可能是相比于发达经济体来说,发展中国家存在金融抑制问题,很多民营企业与个人无法获得金融支持,导致其持有的金融资产比例较低,因此利率走势的降低导致的贫富差距扩大现象更加严重,证明了假说二的部分内容。

05
稳健性检验
为了进一步验证上述结论的可靠性,本文主要从三个方面进行稳健性检验:第一,替换核心解释变量。十年期国债收益率代表了长期利率的走势,将本文的核心解释变量各国十年期国债收益率替换为各国三个月短期国债或银行承兑利率,针对上述基准模型以及中介效应分别重新进行回归估计。第二,替换被解释变量。本文对被解释变量的范围进行扩展,将一国排名前1%国民的收入占全体国民收入的比重扩展为一国排名前10%国民的收入占全体国民收入的比重。针对上述基准模型以及中介效应模型分别重新进行回归估计。第三,使用核心十年期国债收益率滞后项。为了防止内生性问题带来的估计偏误,本文在使用双固定模型的基础之上,再选择使用核心解释变量的滞后一期(L.rate_10y)进行回归分析。上述三个方面的稳健性检验结果均显示,主要解释变量的系数与签署基准模型与中介效应的实证结果一致,表明本文的实证结果是稳健的。
06
结论和政策建议
本文从理论和实证两个方面分析和考察了长期低利率乃至负利率与贫富差距之间的相关关系,以及财富异质性在其中所发挥的作用。实证结果表明,利率走势的降低会进一步拉大一国的贫富差距,而且这种扩大作用在发展中国家表现更加明显。通过进一步的分析,本文发现利率走势降低会通过“投资恩格尔系数”进一步拉大贫富差距。在此基础上,我们又将融资能力和投资能力的差异考虑在内进行拓展,发现这些差异在资产端与负债端产生了非对称的影响从而放大了利率走低带来的贫富差距恶化,否定了有学者认为低利率是“劫富济贫”的观点。
从社会福利的角度来看,利率走低引致的贫富差距恶化会带来严重的政治、社会和经济不良后果。认识到利率长期走低的这种财富结构扭曲效应,对后疫情时代我国货币和信贷政策的设计、制定和实施具有非常重要的借鉴和启示意义。本文的政策建议主要包括:
第一,在考虑货币政策传导机制时,应该将财富异质性问题考虑在内,不同的财富结构在政策利率降低时会产生不同的福利效应。货币政策一般被看作是一种总量政策,但在财富结构异质性比较显著的经济体内,利率下调会对不同“投资恩格尔系数”的群体产生不同的冲击。下降的政策利率虽然降低了低收入阶层的利息成本,但考虑到信贷可得性、资产负债结构和金融资产的公允价值等因素,利率降低在政策传导过程中会更利于高财富净值的群体而不是相反,在这种情况下降低利率的货币政策效果会大打折扣。
第二,政策层在制定货币政策并考虑其副作用时,不仅要看到过低的政策利率在短期带来的资产泡沫和通货膨胀压力,还应该看到人为压低利率带来的贫富差距恶化这一长期结构性问题。而且,本文发现“利率降低-贫富分化”这个作用机制具有“累积效应”,即“投资恩格尔系数”越高的国家,当利率降低时贫富差距恶化的程度就越大。我国作为一个发展中经济体,贫富分化问题还不严重,但是也要未雨绸缪。
第三,在逆周期政策实施过程中,慎重使用低利率及负利率的政策工具,尽量保持中性适度的政策利率中枢,引导利率走势趋向适合实体经济高质量发展的合适水平,防止出现收益率曲线过度平坦化甚至是倒挂的现象。正确认识金融危机等特殊形势下超低利率的暂时性和副作用,不能将短期逆周期调节政策作为长期工具使用。在超常规政策实施前期,就要考虑好政策“不急转弯”“软着陆”退出的时机和路径。我国当前的货币政策框架正在从数量型工具向价格型工具转变,如何通过符合中国特殊国情的结构化货币政策工具,将货币政策造成的长期结构性福利损失降到最低,是未来需要研究的一个重要课题。


雷达卡



京公网安备 11010802022788号







