信用中介类影子银行规模 2012-2023
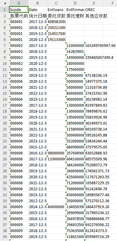
Scode[股票代码]-上市公司股票代码
Date[统计日期]-统计截止日期
Entloans[委托贷款]-委托贷款,单位:元
Entfinman[委托理财]-委托理财,单位:元
OREC[其他应收款]-其他应收款,单位:元

【数据】信用中介类影子银行规模 2012-2023
(76 Bytes, 需要: RMB 28 元)
|
楼主: 曾哥的
|
253
0
[经管数据集] 【数据】信用中介类影子银行规模 2012-2023 |
|
已卖:182份资源 讲师 95%
-
|
| ||
|
|
扫码京ICP备16021002号-2 京B2-20170662号
京公网安备 11010802022788号
论坛法律顾问:王进律师
知识产权保护声明
免责及隐私声明


