数据介绍
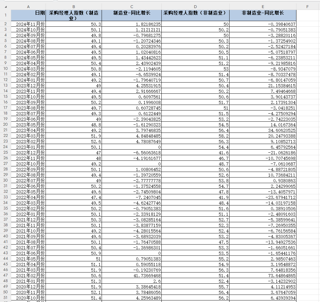
PMI,全称为采购经理指数(Purchasing Managers’ Index),是通过对采购经理的月度调查汇总出来的指数,能够反映经济的变化趋势。
随着全球经济形势的不断变化,中国PMI指数也将继续受到关注,并为政策制定者、投资者以及社会各界提供重要的经济参考信息。同时,也需要关注PMI分项指数的变化情况,以更全面地了解经济的运行状况和行业发展趋势。
数据指标
日期、采购经理人指数(制造业)、制造业-同比增长、采购经理人指数(非制造业)、非制造业-同比增长。

全国采购经理人指数(PMI)(2008-2024.11).zip
(17.91 KB, 需要: RMB 28 元)


雷达卡



京公网安备 11010802022788号







