探索性因子分析(EFA以下简称因子分析)是一种常用的数据降维技术,旨在减少数据中的冗余信息并提高其可解释性,广泛应用于综合评价研究。
通过因子分析,可以提取隐藏在指标变量中的共同结构,并将其量化为因子。这些因子虽然不可直接观察,但在实际研究中具有很强的解释能力,能够反映研究对象的潜在特征。
一、因子分析步骤
因子分析的核心思想是识别出影响观测变量的公共因子,从而实现降维。具体而言,它将多个相关变量归纳为少数几个因子,这些因子能够共同解释原始数据的方差,进而简化数据结构,便于后续分析。因子分析一般分析步骤如下:
案例:欲探究我国31个省份(不含港澳台)铁路运输能力情况,收集到部分相关数据如下:
1、指标数据标准化处理
在综合评价研究中,通常会从多个方面收集观测指标的数据,众多指标的单位、量纲不同,在开始分析前应对这些数据进行标准化处理。
SPSSAU因子分析将自动进行标准化处理,标准化计算公式:(X-Mean)/ Std,因此直接对原始数据进行分析即可。
SPSSAU进行因子分析软件操作如下图:
(1)在SPSSAU分析页面左侧选择【探索性因子分析】;
(2)将变量拖拽到右侧分析框中;
(3)选择因子个数若不确定则按特征根大于1自动提取公因子;
(4)勾选“因子得分”与“综合得分”,点击开始分析按钮,得到分析结果。
2、适用性检验
在进行因子分析之前,通常需要进行适用性检验,以确保数据适合进行因子分析,通常采取KMO检验和Bartlett球形检验。
KMO检验:用于检查变量间的相关性,取值为0~1。KMO值越接近于1,变量间的相关性越强,一般KMO值大于0.6即可进行因子分析。
Bartlett球形检验:原假设是变量间是独立的,如果拒绝原假设(p值小于0.05),则说明变量之间存在相关性,数据适合进行因子分析。
本案例输出KMO和Bartlett球形检验结果如下:
从结果来看,KMO值为0.722大于0.6,认为数据适合进行因子分析;同时Bartlett球形检验结果显示p值小于0.05,可以进行因子分析。
3、提取公因子
若分析前没有主动选择公因子个数,则默认以特征根大于1为标准提取公因子,SPSSAU得到各因子的特征根以及方差解释率见下表:
分析上表可知,特征根大于1的因子共有两个,说明本次分析提取2个公因子。这2个公因子的累计方差解释率为78.808%,第一个因子的方差解释率为41.346%,第二个因子的方差解释率为37.462%,说明提取的两个公因子能够代表原来6个铁路运输能力指标78.808%的信息,整体来看信息变量丢失较少,因子分析效果比较理想。
【提示】:一般认为旋转后方差解释率大于50%比较合适。
另外,从特征根的碎石图可以更为直观的看出拟提取的公因子。如上图,前两个因子的让特征根值均大于1,且曲线比较陡峭,剩下4个特征根值均小于1且特征根值曲线逐渐变得比较平缓,即提取前2个因子可以代表所有原始铁路运输指标的绝大部分信息,与方差解释率得到结果一致。
4、公因子命名与解释
找到公因子后,为了理解公因子的实际意义以及方便对公因子进行命名,需要继续进行因子旋转。旋转常用方法为最大方差法(SPSSAU默认旋转方法为最大方差法,除此之外还提供最优斜交法)。
旋转后的因子载荷矩阵可以直观反映各个变量对公因子的贡献程度,一个变量在某个公因子上的载荷系数的绝对值越大,说明变量与该公因子越具有相关性。
下表为SPSSAU使用最大方差法进行旋转后得到的因子载荷系数表格:
分析上表可知,因子1在铁路货运总量、铁路营业里程、铁路货物总周转量上具有较大的载荷(因子载荷系数分别为0.916,0.762,0.809),因此这3个变量归为一类,根据实际意义归纳命名为货运因子(记作F1)。因子2在铁路客运量、铁路旅客周转量、铁路运输职工人数上具有较大的载荷,因此这3个变量归为另一类命名为客运因子(记作F2)。
5、计算因子得分
确定因子后,进一步计算各因子得分,SPSSAU输出成份得分系数矩阵如下:
根据上表成份得分系数矩阵,得到公因子F由变量表示线性组合的因子得分函数:
F1(货运因子)=-0.203*Z铁路客运量-0.178*Z铁路旅客周转量+0.537*Z铁路货运总量+0.294*Z铁路营业里程+0.333*Z铁路货物总周转量+0.135*Z铁路运输职工人数
F2(客运因子)=0.506*Z铁路客运量+0.488*Z铁路旅客周转量-0.321*Z铁路货运总量+0.025*Z铁路营业里程-0.014*Z铁路货物总周转量+0.197*Z铁路运输职工人数
这一过程可通过手算完成,但要注意使用的是标准化后的变量数据代入公式。使用SPSSAU进行因子分析前,我们勾选了【因子得分】,因此会自动保存公因子得分,可以点击SPSSAU分析页面右上角查看数据并下载到本地,如下图:
因子得分可用于进一步分析,比如聚类分析,回归分析使用等。如果利用因子分析只是进行信息浓缩、提取公因子则到这步就结束了,可以进行其他分析。若要进行综合评价,则继续计算综合得分。
6、计算综合得分
如果使用因子分析的目的在于进行综合竞争力分析,比如银行的绩效排名,上市公司竞争力排名等,此时可计算综合得分,用于竞争力排名。
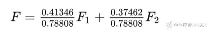
接上述因子分析案例,将指标数据代入因子表达式,计算综合得分,分析结果并进行综合竞争力分析。即以2个公因子得分为基础,再以每个因子的方差解释率为权数进行线性加权平均,最后得到一个综合得分模型:
【提示】:系数分子为两个公因子旋转后方差解释率,分母为旋转后累计方差解释率。勾选【综合得分】后,SPSSAU将自动保存综合得分。
得到综合得分后,可将数据下载至本地,使用Excel对综合得分进行排序,最终可将31个省份综合得分与因子得分整理成如下表格,该排名就代表了31个省份的铁路运输能力的综合竞争力。
分析上表可知,我国31个省份中河北省的铁路运输能力综合得分最高排第一,海南省综合得分最低。
二、与主成分分析区别
因子分析和主成分分析都属于降维处理的方法,都是针对定量数据资料,且要求数据间具有一定的相关性基础。二者应用场景与分析步骤基本一致,以上因子分析六步完成综合评价的步骤,同样适用于主成分分析进行综合评价。
SPSSAU主成分分析软件操作如下图:
但是因子分析与主成分分析在原理上有本质的区别,主要区别说明如下:
(1) 原理上的区别
主成分是观测变量的线性组合,即主成分分析是把具有一定相关性的观测变量重新组合形成少数几个不相关的综合指标,主成分的提取过程倾向于获得更大的共性方差。而因子是可用于解释观测变量的潜在变量,观测指标是公共因子的线性组合,所提取的因子更强调可解释性。
(2) 可解释性上的区别
主成分不强调其一定要具有明确的实际含义,有一些研究并不关注主成分有无实际特质含义。但是因子分析更强调因子的特质,一般要求因子具备可解释性。因子分析成功与否,更多的取决于因子自身的可解释性。
(3) 操作上的区别
主成分分析提取主成分只有一种方法,就叫做主成分法,而因子分析提取公因子的方法较多,常用的比如主成分法、主轴因子法,最大似然法等。另外因为公因子强调可解释性,因此在提取公因子的过程中可采用因子旋转处理,而主成分分析一般不包括旋转处理。
参考文献:周俊,马世澎. SPSSAU科研数据分析方法与应用.第1版[M]. 电子工业出版社,2024.


雷达卡




京公网安备 11010802022788号







