1.计算说明
每个模型均包含三个变量:DACC(不同模型的计算公式不同)、AbsDACC和Opaque(每个模型的计算公式均相同)
1.1对于每个模型的DACC(操纵性应计利润)的计算说明,见下:
1.1.1应计盈余管理(基本琼斯模型)

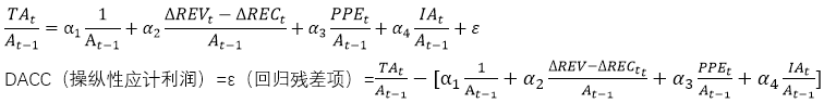
1.1.2应计盈余管理(修正的琼斯模型Dechow等,回归残差项)(常用)

1.1.3应计盈余管理(修正的琼斯模型Dechow等)(常用)

1.1.4应计盈余管理(考虑业绩影响/考虑上年业绩/业绩调整的修正的琼斯模型Kothari等)(常用)

1.1.5应计盈余管理(修正的琼斯模型陆建桥)(常用)

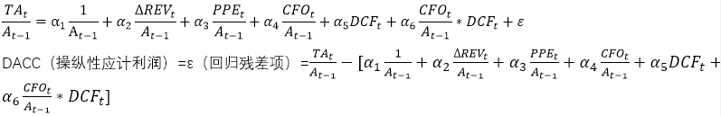
1.1.6应计盈余管理(修正的琼斯模型Ball和Shivakumar/非线性琼斯模型)

1.1.7应计盈余管理(修正的琼斯模型Dechow和Dichev/DD模型/双D模型)

1.1.8应计盈余管理(修正的琼斯模型McNichols)

其中:
TAt(总应计项目)=营业利润-经营活动产生的现金流量净额
At-1(总资产)=第t-1年的总资产
ΔREVt(营业收入变动额/变动值/变化)=第t年的营业收入 - 第t-1年的营业收入
ΔRECt(应收账款变动额/变动值/变化)=第t年的应收账款 - 第t-1年的应收账款
PPEt(固定资产)=第t年的固定资产原值
ROAt(资产收益率)=第t年的总资产净利润率
IAt=第t年的无形资产和其他长期资产
CFOt-1=第t-1年的经营活动产生的现金流量净额
CFOt=第t年的经营活动产生的现金流量净额
CFOt+1=第t+1年的经营活动产生的现金流量净额
DCF为虚拟变量,当CFO小于0时,取值为1,否则为0
在调整变量时,仅需在代码中将变量进行简单替换,再次运行即可。购买了此项数据的用户,如在调整模型中遇到问题,均可私聊我免费答疑。
替代变量计算说明示例:

2.数据说明
样本选择:全部A股1998-2024年数据(“经营活动产生的现金流量净额”数据是从1998年开始,所以数据起点选择为1998年)。其中,模型1.1.7和1.1.8较为特殊,计算结果均为1999-2023年。
与大多数文献相同,做了如下的处理:剔除金融行业的样本;剔除当年年末被ST、*ST或PT的上市公司;剔除公司上市之前的样本;剔除已经退市的上市公司样本;剔除有缺失值的公司样本;剔除同行业中少于10家样本的企业,数值可根据参考文献自行调整
注:提供了剔除所需数据和剔除代码,若无需做该项剔除处理,自行删除相关代码重新运行即可
行业参照证监会2012年行业分类标准,制造业用二级行业分类,其他用一级分类来计算
分年度分行业回归
并对连续型变量进行了1%和99%分位数的缩尾处理
每个压缩包都附有初始数据,计算代码,参考文献和最终数据,并附有替代变量整理说明
3.参考文献
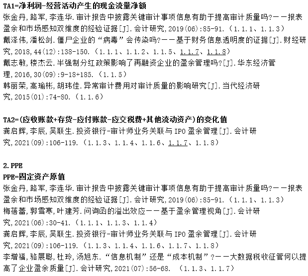
[1]张金丹,路军,李连华.审计报告中披露关键审计事项信息有助于提高审计质量吗?——报表盈余和市场感知双维度的经验证据[J].会计研究,2019(06):85-91.(1.1.1、1.1.3)
[2]梅蓓蕾,郭雪寒,叶建芳.问询函的溢出效应——基于盈余管理视角[J].会计研究,2021(06):30-41.(1.1.1、1.1.3、1.1.4)
[3]戴泽伟,潘松剑.僵尸企业的“病毒”会传染吗?——基于财务信息透明度的证据[J].财经研究,2018,44(12):138-150.(1.1.1、1.1.2、1.1.5、1.1.7、1.1.8)
[4]龚启辉,李辰,吴联生.投资银行-审计师业务关联与IPO盈余管理[J].会计研究,2021(09):106-119.(1.1.3、1.1.4、1.1.6、1.1.7、1.1.8)
[5]李增福,骆展聪,杜玲,汤旭东.“信息机制”还是“成本机制”?——大数据税收征管何以提高了企业盈余质量[J].会计研究,2021(07):56-68. (1.1.3、1.1.7)
[6]柳光强,王迪.政府会计监督如何影响盈余管理——基于财政部会计信息质量随机检查的准自然实验[J].管理世界,2021,37(05):157-169+12. (1.1.3、1.1.5)
[7]王亚平,刘慧龙,吴联生.信息透明度、机构投资者与股价同步性[J].金融研究,2009(12):162-174. (1.1.3)
[8]单蒙蒙,但菊香,宋运泽.员工持股计划与企业风险承担——基于公司内外部治理机制的视角[J].华东经济管理,2021,35(07):119-128. (1.1.3)
[9]吕梦,王兵,苏文兵.审计委员会与审计总监任期重叠影响公司盈余质量吗[J].会计研究,2021(01):155-166.(1.1.2、1.1.4、1.1.6、1.1.7、1.1.8)
[10]聂萍,潘再珍,肖红英.问询函监管能改善公司的内部控制质量吗?——来自沪深交易所年报问询的证据[J].会计研究,2020(12):153-170. (1.1.4)
[11]邵剑兵,陈永恒.高管股权激励、盈余管理与审计定价——基于盈余管理异质性的视角[J].审计与经济研究,2018,33(01):44-55.(1.1.1、1.1.3、1.1.5)
[12]戴志敏,楼杰云.半强制分红政策影响了再融资企业的盈余管理吗?[J].华东经济管理,2016,30(09):9-18+185.(1.1.5)
[13]孙健,王百强,曹丰,刘向强.公司战略影响盈余管理吗?[J].管理世界,2016(03):160-169.(1.1.2、1.1.5、1.1.7、1.1.8).
[14]韩丽荣,高瑜彬,胡玮佳.异常审计费用对审计质量的影响研究[J].当代经济研究,2015(01):74-80.(1.1.6)以下仅以 1.1.2应计盈余管理(修正的琼斯模型Dechow等,回归残差项) 为例
压缩包所含文件:
数据样例:
分年份数据量统计:
缩尾后的描述性统计结果:
2024应计盈余管理(基本琼斯模型).rar
(26.2 MB, 需要: RMB 30 元)
本附件包括:- 应计盈余管理(基本琼斯模型).dta
- 计算代码.do
- 僵尸企业的“病毒”会传染吗...—基于财务信息透明度的证据_戴泽伟(多种计量方式).pdf
- 审计报告中披露关键审计事项...和市场感知双维度的经验证据_张金丹.pdf
- 问询函的溢出效应——基于盈余管理视角_梅蓓蕾.pdf
- 初始数据.xlsx
- 应计盈余管理(基本琼斯模型).xlsx
- 变量替换整理.docx
- 初始数据.dta
2024应计盈余管理(修正的琼斯模型Dechow等,回归残差项).rar
(26.82 MB, 需要: RMB 39 元)
本附件包括:- 应计盈余管理(修正的琼斯模型Dechow等,回归残差项).dta
- 计算代码.do
- 僵尸企业的“病毒”会传染吗...—基于财务信息透明度的证据_戴泽伟(多种计量方式).pdf
- 企业寻租如何影响盈余管理_陈骏.pdf
- 初始数据.xlsx
- 应计盈余管理(修正的琼斯模型Dechow等,回归残差项).xlsx
- 变量替换整理.docx
- 初始数据.dta
2024应计盈余管理(修正的琼斯模型Dechow等).rar
(29.68 MB, 需要: RMB 39 元)
本附件包括:- “信息机制”还是“成本机制...征管何以提高了企业盈余质量_李增福.pdf
- 投资银行-审计师业务关联与IPO盈余管理_龚启辉.pdf
- 信息透明度、机构投资者与股价同步性_王亚平.pdf
- 员工持股计划与企业风险承担...于公司内外部治理机制的视角_单蒙蒙.pdf
- 政府会计监督如何影响盈余管...息质量随机检查的准自然实验_柳光强.pdf
- 初始数据.xlsx
- 应计盈余管理(修正的琼斯模型Dechow等).xlsx
- 变量替换整理.docx
- 初始数据.dta
- 应计盈余管理(修正的琼斯模型Dechow等).dta
- 计算代码.do
2024应计盈余管理(业绩调整的修正的琼斯模型Kothari等).rar
(26.45 MB, 需要: RMB 39 元)
本附件包括:- 计算代码.do
- 审计委员会与审计总监任期重叠影响公司盈余质量吗_吕梦.pdf
- 问询函的溢出效应——基于盈余管理视角_梅蓓蕾.pdf
- 问询函监管能改善公司的内部...自沪深交易所年报问询的证据_聂萍.pdf
- 初始数据.xlsx
- 应计盈余管理(业绩调整的修正的琼斯模型Kothari等).xlsx
- 变量替换整理.docx
- 初始数据.dta
- 应计盈余管理(业绩调整的修正的琼斯模型Kothari等).dta
2024应计盈余管理(修正的琼斯模型陆建桥).rar
(28.38 MB, 需要: RMB 39 元)
本附件包括:- 半强制分红政策影响了再融资企业的盈余管理吗__戴志敏.pdf
- 高管股权激励、盈余管理与审...—基于盈余管理异质性的视角_邵剑兵.pdf
- 公司战略影响盈余管理吗__孙健.pdf
- 僵尸企业的“病毒”会传染吗...—基于财务信息透明度的证据_戴泽伟(多种计量方式).pdf
- 初始数据.xlsx
- 应计盈余管理(修正的琼斯模型陆建桥).xlsx
- 变量替换整理.docx
- 初始数据.dta
- 应计盈余管理(修正的琼斯模型陆建桥).dta
- 计算代码.do
2024应计盈余管理(修正的琼斯模型Ball和Shivakumar).rar
(25.91 MB, 需要: RMB 39 元)
本附件包括:- 应计盈余管理(修正的琼斯模型Ball和Shivakumar).dta
- 计算代码.do
- 审计委员会与审计总监任期重叠影响公司盈余质量吗_吕梦.pdf
- 异常审计费用对审计质量的影响研究_韩丽荣.pdf
- 初始数据.xlsx
- 应计盈余管理(修正的琼斯模型Ball和Shivakumar).xlsx
- 变量替换整理.docx
- 初始数据.dta
2024应计盈余管理(修正的琼斯模型Dechow和Dichev).rar
(28.7 MB, 需要: RMB 24 元)
本附件包括:- 僵尸企业的“病毒”会传染吗...—基于财务信息透明度的证据_戴泽伟(多种计量方式).pdf
- 审计委员会与审计总监任期重叠影响公司盈余质量吗_吕梦.pdf
- 投资银行-审计师业务关联与IPO盈余管理_龚启辉.pdf
- 初始数据.xlsx
- 应计盈余管理(修正的琼斯模型Dechow和Dichev).xlsx
- 变量替换整理.docx
- 初始数据.dta
- 应计盈余管理(修正的琼斯模型Dechow和Dichev).dta
- 计算代码.do
- “信息机制”还是“成本机制...征管何以提高了企业盈余质量_李增福.pdf
2024应计盈余管理(修正的琼斯模型McNichols).rar
(27.39 MB, 需要: RMB 24 元)
本附件包括:- 应计盈余管理(修正的琼斯模型McNichols).dta
- 计算代码.do
- 僵尸企业的“病毒”会传染吗...—基于财务信息透明度的证据_戴泽伟(多种计量方式).pdf
- 审计委员会与审计总监任期重叠影响公司盈余质量吗_吕梦.pdf
- 投资银行-审计师业务关联与IPO盈余管理_龚启辉.pdf
- 初始数据.xlsx
- 应计盈余管理(修正的琼斯模型McNichols).xlsx
- 变量替换整理.docx
- 初始数据.dta
应计盈余管理合集,包括上述所有模型
2024应计盈余管理.rar
(74.58 MB, 需要: RMB 98 元)
本附件包括:- 初始数据.dta
- 初始数据.xlsx
- 说明.txt


雷达卡




京公网安备 11010802022788号







