01、数据简介
互联网普及率(Internet Penetration Rate)是指某一特定区域内,使用互联网的人口占该区域总人口的百分比,是衡量互联网在社会中渗透程度和普及水平的关键指标,反映互联网基础设施覆盖、民众使用意愿与能力等多方面情况。
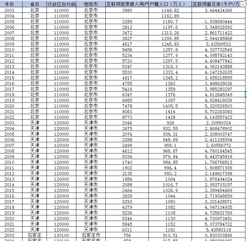
地级市互联网普及率=互联网宽带接入用户/年末常住人口
各省互联网宽带接入用户数(万户)占全省常住人口总数的比例。
数据名称:省、地级市-互联网普及率数据
数据年份:2003-2023年
数据来源:地区统计年鉴、中国互联网络信息中心
02、相关数据
年份 地区 行政区划代码 地级市 互联网宽带接入用户_千户 户籍人口(万人)年末常住人口(万人) 互联网普及率(千户/万人)
03、数据截图



雷达卡



京公网安备 11010802022788号







