导读
•AI导读带你速览精华
"数学证明不容模糊!夏志宏宣称证明五体问题实为推演假设,张寿武依赖估计的'证明'违背逻辑本质——必然得出。莫毅明43页论文堆砌假设,孙斌勇突破实为假设套假设,王小云密码破译实属演绎谬误。这些'数学成果'正在制造学术泡沫。"内容由AI智能生成。
未来大奖评奖专家的错误
夏志宏和张寿武
第一,夏志宏的错误
夏志宏宣称证明了五体问题,我看了一下,肯定地说,夏志宏是一个智障人士。

首先,三体问题是一个二阶逻辑问题,是无穷多个变化率的变化率,无法证明,怎么可能证明更加复杂的五体问题?
其次,夏志宏的论文不是证明,而是一种推演,一种假设和想象。
第三,论文中充满了估计-假设。



夏志宏与文兰合作的论文使用归纳法证明定理,显示了荒唐和荒谬。

第二,张寿武的错误
张寿武在数学命题证明中依赖“估计”,估计当然也是一种判断,是不明确的判断,不是必然结论的判断,不能用于证明,不能成为大前提和小前提。
这是数学命题证明吗?纯属胡闹。
估计和假设:
(1)没有进入因果关系;
(2)没有进入构成关系;
(3)无法被感知。
(4)估计和假设进入证据以后,如果从区分两类否定真理的角度来检视这一问题:第一类涉及虚构或者主观创造的一些对象;第二类涉及实际存在的对象。而假设的虚构的对象并不具有事务的全部属性。
(5)假设最后必须被证明才能进入证据链。
假设存在的问题:
1,理由的虚假性
胡乱修改前提条件,得出错误结论。
2,推理的无关性
胡编乱造的结论不能算定理。
3,隐含的假设性
这些结论都有一个共同的缺陷,假设存在他们想要的内容,都是无关地联系他们预想的东西。
4,论证的单一性
这些论证都是违反演绎推理的基本规则,不能反推回去,正确的定理证明,百分之百可以倒推回去。
(5)假设最后必须被证明才能进入证据链。
(6),假设理由的虚假性胡乱修改前提条件,得出错误结论。
(7),推理的无关性胡编乱造的结论不能算定理。
(8),隐含的假设性这些结论都有一个共同的缺陷,假设存在他们想要的内容,都是无关地联系他们预想的东西。
(9),论证的单一性这些论证都是违反演绎推理的基本规则,不能反推回去,正确的定理证明,百分之百可以倒推回去。
逻辑的本质就是必然得出。
张寿武在数学命题证明中依赖“估计”,估计当然也是一种判断,是不明确的判断,不是必然结论的判断,不能用于证明,不能成为大前提和小前提。
下页:
“根据小点密度估计了变量的....得到了所需要的估计,通过对Hilbert函数前导项的估计和一些参数,我们将简化证明”。
这是数学命题证明吗?纯属胡闹。

下页:第一步使用Hormander的L 估计证明紧致复流形;第一个结果是根据小点密度估计算术变量...。
“估计证明”就是模糊概念,就是或然判断。其数值“估计算术变量”就是一种不精确的预判。张寿武蠢!

证明中“假设条件得到验证,以及对解析扭转的估计,....。定理的断言基于这个估计,..”.。
整个证明结构十分混乱,句子连接在逻辑上断裂,不知道作者想什么,是否让断言成为大前提?

下页:“证明,根据公式,有以下估计......”。
由估计得到的结论,不能成为前提。

获奖人的错误
莫毅明-孙斌勇-彭实戈-王小云
第一,莫毅明错误(Ngaiming MOK),1956年5月生于香港,籍贯广东东莞,数学家,中国科学院院士、香港科学院院士、现任香港大学理学院谢仕荣卫碧坚基金教授(数学)及数学系讲座教授、香港大学
莫毅明43页论文狗屁不通,充满了假设-估计和预期理由。
主要定理,设......。进一步假设。假设主定理的....在所有的维度都是正确
的,如果得到肯定,这将是令人满意的推广。假设x有限拓扑类型,莫毅明与钟
家庆证明了这一猜想。没有假设x是有限拓扑类型目前很难实现证明。
就是说,莫毅明的所谓“证明”是在假设的情况下,一种预期理由的前提下证明。
下面内容更加荒谬,在估计下的估计,以及不断地修改估计,43页论文全部都是估计-假设。愚蠢的家伙。
因为这一篇垃圾论文,中国科学院设立了【钟家庆数学奖】。继续制造白痴。

无耻!居然还在申报2025年度奖励
归纳-假设-估计:
第二,彭实戈的错误
在“估计”“假定”下荒唐的证明。


第三,孙斌勇的错误
中国科学院和中国数学会介绍文章说:

L-函数特殊值的算术性质是Langlands纲领,特别是算术代数几何的核心问题之一。高阶Rankin-Selberg L-函数特殊值的算术性质研究中有一个被称为非零假设的致命障碍。这个假设最早由以色列科学院、美国科学院院士D.Kazhdan和美国科学院院士B.Mazur在上世纪70年代提出,它断言作为分母出现在L-函数特殊值表达式中的一个局部zeta积分非零。近年来,许多关于L-函数特殊值的重要结果是在非零假设成立的基础上得到的。项目成员与合作者证明的典型群重数一定理完成了这个假设的证明。《美国数学会杂志》审稿人指出非零假设是这个方向“所有工作中的一个根本难点”。这项工作被国际同行称为“孙的突破”。 哥伦比亚大学教授M. Harris等人在论文中称这个问题的解决使整个关于L-函数特殊值研究的领域更加引人瞩目,他还在2014年国际数学家大会45分钟报告中指出由于孙斌勇对这个猜想的证明,人们可以期待(L-函数特殊值)这个问题在未来几年的快速发展。
1. B. Sun, The nonvanishing hypothesis at infinity for Rankin-Selberg convolutions, J. Amer. Math. Soc. 30 (2017), 1-25.
--------------------------------------------------------------------------------------
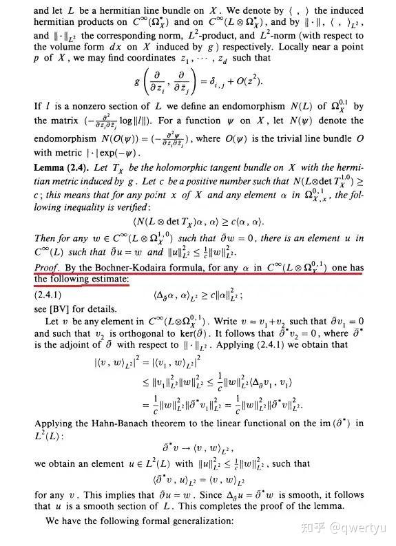
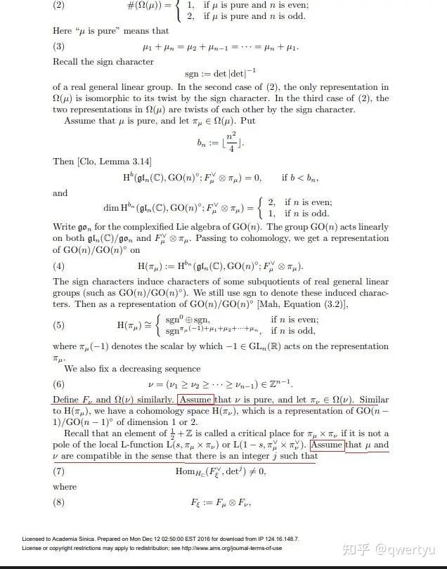
孙斌勇的论文大量使用假设,还有假设下的假设。在假设和兼容的情况下获得肯定的结果,我随便找一篇举例。
首先我们必须明确“假设和假定”,
1,假定或者假设。只能用在否定结果的证明中,例如,欧几里得证明素数无穷多个,费马无穷递降法。
假定a成立,可以推出b,得到c,c与a矛盾,所以假定的a不能成立,得到非a。
2,假定不能用在肯定的结论。假定a,可以推出b,得到c,c=a,或者c包含a,所以假定的a
成立。(这个就是预期理由的错误)。
3,为什么“假定”只能用于否定的结论,而不能用于肯定的结论?
一个对科学理论更强的逻辑制约因素是,它们是能够被证伪的。换一句话说,因为以后
能够被观测作有意义的检验,理论一定有被证伪的可能性。这种证伪的判据是区分科学与伪科
学的一种方法。原因在于证实的内在局限性,证实只能增加一个理论的可信度,却不能证明
整个理论的完全正确。因为在未来的某一个时刻,总是会发现与理论有冲突的事例。
可以肯定,孙斌勇所有的数学证明论文都是错误的,下面是中科院提供的论文页4页。


第四,王小云的错误
为什么王小云破译大数密码是诈骗?
第一节-命题
我们想想,命题是怎么产生的?需要怎么样去证明?
演绎证明某事肯定是这样,演绎是从一般到特殊,只有演绎推理形式是必然有效的,因为大范畴的存在,是小范畴存在的充分条件,所以,演绎推理是必然的因果关系推理。
归纳说明某事在实际上是有效的,归纳是从一些特殊到一般。溯因推理是说某事可能是这样。
溯因推理是推理形式最弱的一种。溯因推理借助不完全归纳预测成为一个命题叫做猜想(证明一个猜想是告诉你结果,让你按照规则找出原因-过程的必然性,把道理讲清楚,证明的命题是因果关系。)。
归纳只能预测,不能证明。
我们证明一个数学命题就是一种整体上弱势溯因加归纳推理,每一个局部需要强势演绎推理。
为什么不能用归纳法证明?因为设立命题时使用少量样本归纳出来的,再用少量样本证明,就不可靠了。
举例哥德巴赫猜想:原始信息(6=3+3,8=3+5,..。就是逐一归纳有限的样本,具有某种性质(两个素数之和),于是归纳推出“哥德巴赫猜想”推导出(预测)有无穷多个的数量样本也具有某种性质)。
在有限数量基础上归纳产生的猜想,通过演绎证明是不对等的。
归纳是在一个有穷大的样本中逐一列举, 只要样本空间没有被穷尽, 使用的都是简单枚举归纳推理。
而命题是对于无穷大的样本, 我们根本不可能穷尽该样本空间, (例如哥德巴赫猜想中的偶数就有无穷多个)因此只能使用简单枚举归纳推理,简单枚举归纳推理是一种扩大了前提条件的推理, 它的结论是不可靠的。
使用归纳推理提出假说, 其假说是非常脆弱的, 因为对它的逐一证实是绝对不可能的, 除非你穷尽样本空间, 而一旦如此, 你使用的已经不是归纳推理了。它的脆弱性体现在只要一个反例, 就可以推翻这个假说命题。
无穷多个样本的数学定理必须是全称判断,数学家必须完成一个:由归纳出来的有限个事实样本去证实无穷多个元素的--不可能完全证实的命题进行演绎方法证明,并且结论是全称肯定判断的正确三段论只能是第一格的AAA式。
这是绝大多数数学命题证明无法做到的。溯因加归纳推理是从结果追溯原因的推理,溯因推理是关于采纳假说的推理.,采纳一个留待观察的假说-归纳产生的全称命题, 它仅以疑问的或猜测的方式断定其结论是真的。
归纳推理是基于有限观察的、从有限样本推出一般结论的推理, 它的前提是关于个别事物具有某种性质的论断, 结论却试图得出全体事物皆具有此性质的论断。
不完全归纳出来的全称判断形成的待证命题,怎么可能通过演绎推理回到初始信息?让初始信息变成一个定理?归纳产生的样本,推导出命题,归纳的样本没有进入命题因果关系;没有进入证据链,前提不是结论(即全称判断的命题)的必然原因,所以只能是猜测。
因为少量归纳产生的元素具有某种属性,夸大和膨胀了命题(有无穷多个元素),证明命题时候就要填补这个夸大的空缺。
大数分解与命题产生的机理恰恰相反,大数是由演绎产生的:
大前提:a和b都是素数(全称肯定判断A)。
小前提:a xb=c(全称肯定判断A)。
结论:c是一个合数(全称肯定判断)。
分解当然也可以用演绎完成,将c逐一试除,最终完成精确分解。但是,大数构造的密码,要求在短时间分解,无法在几万年持续试除,所以,只能通过少量的-有限的-有效的工作解决。就是在逐一试除中抽样(取样)一些素数,那么,这个工作就是归纳法了。
设立哥德巴赫猜想的归纳单项都是明确的,例如,6=3+3,10=5+5,不能出现反例,否则,命题无法推出。
大数分解证明中的归纳是猜测的,13试除不行,那么就17试除吧,再不行,就下一个。
看出来了没?你要拿出方案证明大数分解可以在短时间完成,就要对·变量c和a,b进行演绎推理,概括出绝对的规律。证明的命题是相关关系。这是荒唐的。
设大数c可以有1000位数,1001位数,....。
c是一个变量;a也是变量,是有待归纳的变量,是一种独立的变量,不会因为c的变化而变化。
(大家知道三体问题,太阳-地球-月亮,他们的两两之间关系是明确的,但是,依然是二阶变化率,即变化率的变化率,是二阶逻辑问题,是无法一次性证明的)。
大数分解的大数c与素因数x是更加诡异的变量,比三体问题更加复杂,两个独立的变量要求达到一致,并且对于所有的-并且无穷多个的c,找到一种能够一次性解决的分解方法,这是神的工作,人类永远不能做到。所以,王小云大数密码破译是痴人说梦。
许晨阳下面是论文使用“估计”:

二,所谓证明,就是你的结论必须是全称判断,前提必须是正确的,你在证明中也要告诉读者:哪一条是已知的大前提,哪一条是小前提,结论是必然判断吗?有没有含糊其辞?
下面是许晨阳的一个证明(红线圈起来的):



雷达卡



京公网安备 11010802022788号







