平息债券的含义_平息债券构成
平息债券的含义:
所谓平息债券指利息在到期时间内平均支付的债券。支付的频率可能是一年一次、半年一次或每季度一次等。
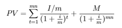
平息债券=年付利息/年付息次数(P/A,必要报酬率/次数,次数*年数)+票面价值(P/S,必要报酬率/次数,次数*年数)
付息期无限小(不考虑付息期间变化)的时候:
溢价:随着到期时间的缩短,债券价值逐渐下降。
折价:随着到期时间的缩短,支付频率的增加,债券价值逐渐上升。
平价:随着到期时间的缩短,债券价值不变。
即:最终都向面值靠近。
债券付息期越短价值越低的现象,仅出现在折价出售的状态。如果债券溢价出售,则情况正好相反。
分析:
分期付息债券的价值=利息的年金现值+债券面值的现值,随着付息频率的加快,实际利率逐渐提高,所以,债券面值的现值逐渐减小。
随着付息频率的加快:(1)当债券票面利率小于必要报酬率(折价出售)时,相对来说,利息较少,利息现值的增加小于本金现值减少,债券的价值下降。(2)当债券票面利率大于必要报酬率(溢价出售)时,相对来说,利息较多,利息现值的增加大于本金现值减少,债券的价值上升;(3)当债券票面利率等于必要报酬率(平价出售)时,利息现值的增加等于本金现值减少,债券的价值不变;
结论:
对于折价发行的债券,加快付息频率,价值下降;
对于溢价发行的债券,加快付息频率,价值上升;
对于平价发行的债券,加快付息频率,价值不变。
平息债券构成
平息债券价值由两部分构成:一是未来所付利息的现值,二是未来所付本金的现值。“平息债券”。大多数由ZF和企业发行的债券都属于平息债券,不仅在到期日进行支付,在发行日和到期日之间也进行有规律的现金支付



雷达卡



京公网安备 11010802022788号







