股票投资组合优化工作流简介在股票投资组合管理中,核心工作就是两个,其中一个是预测(alpha挖掘),另一个就是组合优化。在这篇教程中,我们基于实战视角,介绍了各种组合优化场景,并给出相应的实验代码。

在这个环节大致包含两个流程,分别是alpha研究和alpha组合。在研究阶段,我们要找出信息含量高,能够产生alpha因子,当然还会对alpha的生成来源和结构做探索和检验,现在主要的手段是统计检验和可视化;在alpha组合阶段,我们会把所有的alpha因子组合在一起,在这里阶段我们会处理alpha因子之间的相关性,大致上就是把之间收集到的alpha通过信息最大化或者alpha最大化的方式结合起来。在这个阶段,数据质量和预测对alpha起到了决定性的作用。
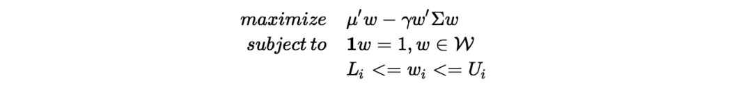
组合构建组合构建阶段的任务就是综合收益(alpha向量)、风险以及交易者自身的偏好或者约束。对于风险的建模,首先我们要决定合适的风险度量及风险建模方法,到底是协方差矩阵就足够描述风险了,还是要用VAR或者risk parity进行建模,业界比较普遍的做法是用风险模型来对系统系风险进行建模。然后就是定义目标函数,是收益最大化、风险最小化、夏普或IR最大化还是其他的效用函数,业界比较普遍的做法是用风险厌恶表述,即w′μ−λw′Σw。最后,我们可能还有一些其他的约束,比如对空约束、净杠杆约束、单头寸范围约束、行业头寸约束等等,这些或满足投资者的偏好或先验信息,或为了满足投资机构本身的风险管理制度。
交易执行
组合构建完后,实际上我们得到的是理想组合和交易列表,这个交易列表可以理解为让当前组合变换到理想组合。在交易执行中,我们会面临很多复杂的问题,比如如何执行这些交易?分笔缓慢得执行还是激进地下单?alpha的预测能力衰减程度如何?在回测中,我们大多数考虑的是确定性的线性交易成本,而市场冲击造成的成本更多是非线性的(二次型)。对这些场景的完全建模将是非常复杂的,实际中在这部分对于小资金基本是激进一次性下单,大资金的话一般会把具体的交易执行给到交易员,由交易员具体把控。
总结下,可以看到在给出了alpha预测向量后,我们基本上转而在解决最优化问题。而最优化问题也是我们在这篇教程中的核心议题。

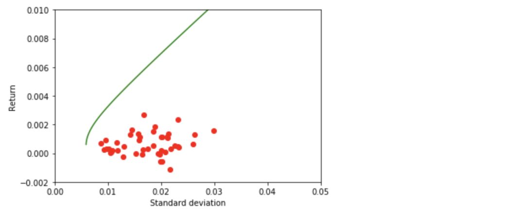
但这个经典无约束的均值方差问题很敏感,权重向量很容易发散。所以在实践中,我们会加入一些权重约束。

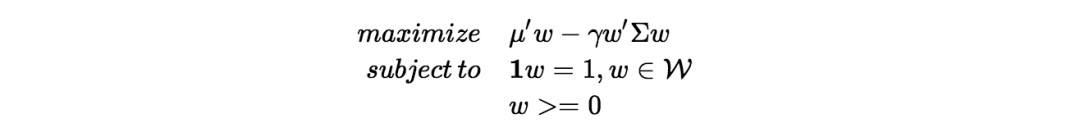
禁止做空约束

在下面的实验中我们可以看到,在禁止做空的约束下,意味着同样不能够用多头杠杆,因为我们设定组合是全额投资没有任何净杠杆敞口。所以我们的投资组合可用的资产配置空间也被大大挤压,并且在这样的条件下,组合的最大收益取决于组合中最大收益的股票。

换手率约束

较高组合换手率意味着较大的交易成本,这会让组合再平衡变得没有效率。所以一个可行的办法是给组合换手率或者单只股票的还手设上限,比如设定每个行业或者板块5%的换手上限。
在下面的实验中我们设定了单只股票10%的换手上限,换手上限这个参数对前沿曲线与马科维茨前沿的离差比较敏感。

持有约束

对于一些大型的共同基金,持有一家上市公司的股票,其市值不得超过基金资产净值的10%,有些可能还规定必须持有最低限度某类股票,如蓝筹股。于是,在这些场景中,我们就可以设定持有约束。这个问题也可以对一些投资人偏爱某类股票做建模,对某类股票设定上下限区间。
在我们的实验中,我们对每个股票设定了1%下限和10%的上限,可以看到这样的有效前沿非常”无效“。这样我们就可以理解为什么总体上来说,私募比共同基金更有可能获取更高的收益了。

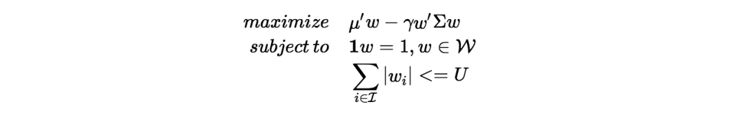
交易成本约束

在实践中,我们一定要考虑到交易成本的因素。交易成本主要分线性成本和非线性成本,线性成本包括手续费、佣金等与交易规模成比例的部分;非线性成本主要是对价格冲击成本的建模。
在我们的这个案例中,暂且只包含线性成本,设定了0.3%的交易佣金,对交易成本的厌恶系数暂且设为0.5。我们可以看到交易成本下的前沿曲线都不是平滑的(我也不知道为啥),并会整体拉低前沿曲线和均值方差前沿的离差,离差与交易成本的厌恶系数比较敏感。

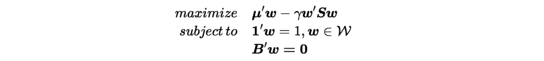
因子模型

在之前的很多篇文章都提高过,对协方差的估计难度是非常大的,用因子模型对协方差建模是业界的一个流行做法。因子组合中可能包含基准(市场因子)因子、规模因子、价值因子、波动率因子、行业因子等,对于风险中性的策略来说,在所有的这些因子暴露都为0,那么整个组合的风险就只有股票自身的特异风险。
一个真正的风险模型在于它对协方差有较高的解释程度,在我们下面的案例中,为简单演示,只考虑了市场因子,会对协方差估计有较大的偏误,不过不影响阐述基本概念。同时,我们的组合还是风险因子中性的,简单说在我们的例子里,模型是市场中性的。

All in one
在这个实验中,我们把持有约束、交易成本约束以及风险模型综合在一个优化问题中。

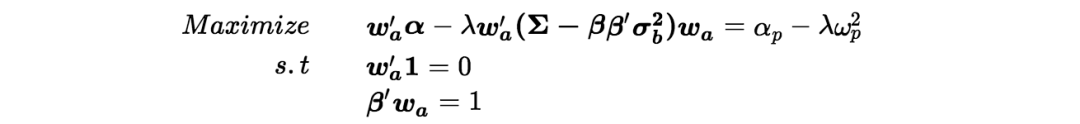
主动投资

上面的定义在我们之前的主动投资——信息率的教程里出现过。这里就留给读者自己动手实验一下。
总结
我们这里展现了一些最常见的组合优化场景,当然我们还有很多的现实场景没有包含在这篇教程内,其中包括交易整数手约束、股票数量约束、非线性交易成本约束、多账户约束等。另外,我们也没有对其他不同的目标函数做实验,不过基本原理都是相同的。当然不是所有的优化问题都是凸优化问题,但在实践中我们尽可能地将问题表述为优化问题,有几方面原因,其一是实现相对简单,其二是在实际中可行。更一般的问题是MIPS混合整型规划,这个问题在最一般的情景下是NP完全问题,问题的复杂性呈指数级别上升。还有一点需要提醒读者的是,在我们的实验中得到的前沿曲线都是后验曲线,还有一种类型是先验曲线,只需要把μ换成alpha预测向量就ok了。
在这里我们主要想阐述的是量化股票投资组合的pipeline,也就是从alpha生成->组合构建的整条工作流。组合构建或者组合优化是把信息、风险、约束以及偏好系统性地结合在一起。在我个人看来,组合优化与alpha预测都同等重要。
查看策略完整代码:《Alpha系列——组合优化概述》



雷达卡





京公网安备 11010802022788号







