摘 要:针对大数据中心的选址问题和规模规划问题,首先分析影响选址的主要因素,基于专家评估意见,采用层次分析法(analytic hierarchy process,AHP)构建选址评价模型,形成通用的评估标准。其次,依照选址评价模型,对全国48个重点城市进行调研,得到各城市的总分排名。进一步分析大数据中心规模设计的要素,提出大数据中心的规模设计模型。旨在为大数据中心的建设部署提供参考。
关键词:选址分析;规模设计;评价模型
作者:黄君雅,赵明,严劲,郑直
随着数字技术的广泛传播以及数字化转型的持续推动,当前社会对数据中心的需求呈现出前所未有的增长趋势。2021年,为推进“东数西算”工程建设,国家发展改革委联合相关部门发布了《全国一体化大数据中心协同创新体系算力枢纽实施方案》,该方案明确提出规划建设的八大节点,其中包括在京津冀、长三角、粤港澳大湾区、成渝地区规划大规模算力部署,以满足重大区域发展战略实施需求;在贵州、内蒙古、甘肃、宁夏等地建设国家算力枢纽节点,重点提升算力服务品质和使用效率,打造面向全国的非实时性算力保障基地[1]。自此,各地对数据中心的最佳选址和快速部署的需求愈发强烈。
数据中心的物理位置对其性能、弹性和运营效率及可持续性都有显著影响,因此,在为数据中心选址时需要进行全面考察。本文旨在为数据中心的位置选择和规模设计提供建议,以助其快速规划并部署。本文从多角度分析了数据中心选址涉及的主要因素,并在此基础上,构建选址评价模型,确定各指标的权重,形成评估标准。随后,本文调研了全国48个重点城市的各项要素情况,并进行了评分,综合得分越高则表示该城市越适合布局数据中心。本文还进一步分析了数据中心的规模设计要素,并据此构建规模设计模型,以期为大数据中心的建设提供更多决策支持。
1 大数据中心的选址研究
1.1 大数据中心的选址要素
大数据中心的选址是一个复杂的过程,涉及多个关键因素,包括电力资源、自然灾害、气候条件、网络资源、人才环境、区域位置、政策环境以及产业环境等。下面将详细分析这些因素如何影响数据中心的选址。
- 电力资源
- 自然灾害
- 气候条件
- 网络资源
- 人才环境
电力资源因素主要围绕电力供应率和电价两个方面。电力供应率主要影响电力供应的稳定性和成本结构,而电力供应的稳定性和可靠性又将直接影响大数据中心的正常运营和数据处理能力。从分电网区域来看,华北、华东、华中、南方区域的电力供需总体保持平衡,东北、西北区域的电力供应能力相对充裕。此外,由于耗电量大[2],电价成为影响大数据中心运营成本的重要因素[3]。我国各地电价水平呈现“南高北低、东高西低”的明显特征。其中,电价从高到低排在后5位的分别是内蒙古西部、陕西、山西、青海和江苏。
大数据中心作为高价值、高可靠性的基础设施,对环境的安全等级要求极高。自然灾害,如地震、洪水、山体滑坡、地面沉降等,都可能对大数据中心的安全运营造成严重影响,因此,选址时应当深入考察各地区的自然灾害情况,避免选择位于地震带、地势低或土质松软的地区,以降低不可抗力对数据中心运行的影响概率[4]。
气候条件对大数据中心的运行效率、能源消耗以及设备寿命都有着显著影响。温度是首要考虑的关键因素。高温环境可能导致大数据中心的设备过热,影响其性能和稳定性。因此,通常会选择温度适中或较低的地区进行部署,以减少散热和冷却的需求[5]。在寒冷地区,可以利用天然的低温,如风冷来降低数据中心的冷却成本。此外,湿度也是一个重要因素。高湿度可能导致设备腐蚀和电气故障,而低湿度则可能引发静电问题。因此,需要确保所选地区的湿度在适宜的范围内。
网络资源情况是数据中心布局选址的又一重要因素,尤其是对于网络延迟敏感的业务,如车联网、金融交易型应用等,更要重点考虑当地网络资源的配套情况。基于此,选取光缆线路长度、集团客户用户数、家庭宽带用户数以及个人手机用户数等作为评估指标。光缆线路作为数据传输的主要媒介,其长度和覆盖范围直接影响大数据中心的网络资源,较长的光缆线路往往意味着更广的覆盖范围。集团客户用户数、家庭宽带用户数以及个人手机用户数则反映了不同用户群体的需求和分布,由于网络配套资源一般是围绕用户建设的,因此,网络用户数能够综合反映一个城市网络配套资源的情况。用户数越多,代表当地网络配套资源越完善,按照“胡焕庸线”划分,我国东南地区人口分布密集、西北地区人口稀疏,这基本反映了我国网络资源的地域分布情况。
大数据中心需由专业人员负责运营与维护[6],特别是在电力、空调、建筑、网络、计算机等领域的专家。当前,专业人才短缺已成为许多二线、三线城市数据中心面临的难题,涵盖基础运维和技术管理人才[7]。因此,在选择地点时,应优先考虑那些技术人才充沛且教育资源丰富的区域,包括人才流动频繁、交流活跃的地区。高等教育机构的数量可以作为衡量城市人才储备的一个标准,因此,可将其视为评估地区人才环境的关键因素。
(6) 区域位置
全国一体化大数据中心布局还需考量的一个关键因素是地理位置。鉴于枢纽节点须覆盖整个区域,因此,靠近或处于区域中心的城市在地理位置上比边缘城市更具优势。接近主要城市或经济中心的大数据中心能更快响应客户需求,提高服务效率,同时,这些地区通常具有更便捷的交通条件,有助于人员和物资的运输与调度[8]。
(7) 政策环境
作为数字基础设施的一部分,数据中心与地方社会经济发展、产业定位及企业数字化转型紧密相关。如果地方政府能够积极支持数据中心及相关产业的发展,并提供优惠政策,将大幅减少数据中心的总体成本。比如,减税或优惠措施、与土地供应和使用成本有关的优惠政策等,这些都将直接影响大数据中心的建设和运营成本[9]。因此,当地是否能提供足够的政策优惠,是数据中心选址时的重要考量因素。
(8) 产业环境
产业环境指的是大数据中心所在地区的产业结构、产业链完整度、产业集聚效果及政策支持力度等多方面因素的综合表现。良好的产业环境能推动数据中心及其上下游产业的发展。本文主要探讨当地大数据产业的集聚状况,以及是否已形成产业集群。产业集群是在工业化进程中常见的现象,在所有发达经济体中,都能明显观察到各种产业集群。产业集群有助于降低生产和交易成本,提高规模经济和范围经济效益,从而增强产业和企业的市场竞争力。
1.2 大数据中心的选址评价体系构建
(1) 评价体系构建
根据前述分析,大数据中心选址的主要考虑因素包括电力资源、自然灾害、气候条件、网络资源、人才环境、区域位置、政策环境和产业环境,在此基础上进一步细化,构建大数据中心选址的评价指标体系,如图1所示。
图1 大数据中心选址的评价指标体系
(2) 选址评价方法和权重确定
在大数据中心的选址过程中,因各因素的影响程度不同,应赋予不同的权重。本文采用层次分析法(analytic hierarchy process,AHP)[10]对选址规划的评价体系进行理论构建。对于图1的评价指标体系,由于政策环境和产业环境因素难以量化,因此,首先使用AHP对其他因素进行定量分析,然后通过专家评审的方式基于这两项因素对评价结果进行调整,确保评估的可行性和准确性。
应用AHP的大数据中心选址评价指标体系如图2所示。图2中,“电力资源”“自然灾害”等位于较高层级的指标被设定为I级指标,而“电力供给率”“自然灾害发生频率”等位于较低层级的指标被设定为II级指标。
图2 应用AHP的大数据中心选址评价指标体系
基于层次分析法计算指标权重的步骤如下。
步骤1根据图2,将选址评价指标分为三层结构,即目标层(选址评价)、准则层(电力资源等六项)、指标层(电力供给率、电价等十项)。
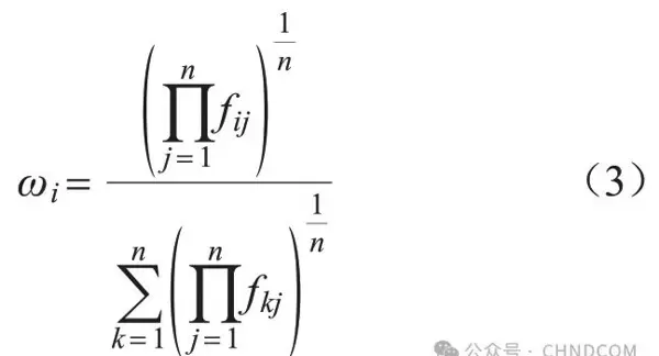
步骤2依据步骤1确定的层次结构,构建判断矩阵,公式为:
其中,F代表判断矩阵,fij表示第i个评价指标与第j个评价指标比较得出的比例值。采用1至9的比例标度法,具体标度规则见表1。邀请多位行业专家根据此规则评分,以构建判断矩阵。
表1 比例标度规则
步骤3对F进行一致性检验。一致性检验因子ξ的计算公式为:
其中,λmax是F的最大特征值。如果ξ≥0.1,则认为F未能通过一致性检验,需要重新调整F的参数。
步骤4使用公式(3)计算指标权重。
其中,ωi表示第i个评价指标的权重值。
根据公式(3)计算所有指标的权重值,得到选址评价指标权重向量W=[ω1?ω2?...ωn]T。
遵循上述步骤,可以完成各项指标权重的计算,为后续分析提供依据。
根据不同的布局需求,大数据中心的选址规划可以分为市场导向和资源导向两大类。市场导向的大数据中心选址评价指标权重和资源导向的大数据中心选址评价指标权重分别见表2和表3。
表2 市场导向的大数据中心选址评价指标权重
表3 资源导向的大数据中心选址评价指标权重
1.3 大数据中心的选址评价及分析
本节将运用该体系,对全国多个重点城市进行具体的选址评价。遵循全面覆盖全国各区域的原则,结合市场、气象、地理等因素,本文选择了48个城市进行要素数据分析,包括北京、张家口、廊坊、石家庄、天津、上海、南京等。
本文通过对Ⅱ级指标调研的数据实施聚类分析,确定评分的评估范围,从而得出各城市相应的总体评分。其中,京津冀、长三角、粤港澳大湾区、成渝地区等枢纽节点的选址以市场需求为指导,建议采用市场优先评估模型;而贵州、内蒙古、甘肃、宁夏等地的枢纽节点则以资源为指导,推荐采用资源优先评估模型。基于市场优先模型评估的城市及其排名见表4,基于资源优先模型评估的城市及其排名见表5。
表4 基于市场优先模型评估的城市及其排名
表5 基于资源优先模型评估的城市及其排名
根据表4显示,利用市场优先模型评估的城市中,北京、上海、广州等一线都市由于其强大的市场需求、完善的配套设施及充足的人才储备,成为所在区域排名领先的城市。不过,这些城市通常也面临着自然与电力资源短缺的问题,因此,一线城市的非中心区域及其周边城市成为较为合适的选择,有助于有效缓解这两方面的冲突。此外,通过专家评估的方式,考虑到政策与产业环境的影响,对各城市的得分进行了调整。
2 大数据中心的规模设计
2.1 大数据中心规模规划的制约因素
在确定了选址适宜性之后,进一步探讨数据中心的规模设计问题,旨在为数据中心的建设提供更多的参考。数据中心的规模设计不仅影响其处理数据的能力,还关系到运营效率和经济成本,需进行深入考量。
数据中心的建设规模受三个因素的约束,即面积、电力和冷却能力。最终实际可用的规模取决于这三个因素中的最弱环节。电力是其中最关键的因素。对于新建立的数据中心,可以从电力规模推算出冷却能力的规模,而面积则有一定的灵活性,高密度设计可以补偿面积不足的问题。制约数据中心规模规划的三大因素如图3所示。

图3 制约数据中心规模规划的三大因素
数据中心的电力规划涉及以下几个方面:首先是IT关键负载,即IT设备的实际电力消耗。IT基础设施的总需求和每个机柜内的服务器安装数量决定了IT电力负载。其次是数据中心的总电力负载,包括IT设备、空调、照明等所有负载的总和。最后是市电进线容量,即向供电部门申请的电力容量。
在实际规划中,应综合考虑面积、电力、冷却能力三个方面的需求和能力,以合理规划数据中心的规模。
2.2 大数据中心的规模设计因素
除了上述制约因素外,大数据中心的规模设计还需考虑多个设计因素,例如业务发展需求、基础设施容量能力等。这些因素对于确保数据中心在未来几年内的可扩展性和运营效率至关重要。
大数据中心的建设规模是指在其整个生命周期内,单位机架预期提供支持和服务能力一定的条件下,能够容纳的机架数量、供电系统、冷却系统的总规模。在规划大数据中心的建设规模时,应考虑以下几个因素。
- 业务发展需求
当前信息化系统已全面融入各行各业的生产和经营活动,数据中心已从信息通信领域的重要基础设施逐渐发展成为推动工业、金融、电力、医疗、教育等行业向数字化、智能化转型的关键基础设施。在规划大数据中心时,应充分考虑引入的行业应用现状,结合业务发展趋势和特点,明确企业的当前应用状况及未来的业务需求规模。预测业务需求时应具备前瞻性,至少要确保数据中心在未来5至10年的可扩展能力,以便将来根据业务发展情况适时调整,提升投资效率。 - 基础设施容量能力
在土地资源充足的情况下,其他基础设施如电力容量将影响数据中心的规模。根据实际工程项目统计数据,对于一个能源使用效率(power usage effectiveness,PUE)值[11]为1.2至1.35的数据中心,IT设备系统产生的能耗约占数据中心机房总能耗的65%至70%,空调系统产生的能耗约占总能耗的20%至25%,供电系统及建筑等产生的能耗约占总能耗的10%。随着新型业务的应用,IT设备每机架的电力消耗规模日益增大,从最初的几千瓦增至20至30千瓦甚至更高,导致数据中心对电力的需求急剧增加。如果此时该地区的外部市电引入容量不足,能提供的电力容量低于设备的电力需求,将影响机房的实际使用效率。对于单点建设项目而言,外部电力能力的大小限制了数据中心的建设规模。 - 能耗指标要求
对于一些资源紧张的一线城市,近年来不约而同地出台了对数据中心的政策限制,如北京、上海等发达地区受限于地区承载能力,采取的是控制新建数据中心规模迅速增长的方式。北京市政府在2018年公布的《北京市新增产业的禁止和限制目录(2018年版)》指出,全市层面禁止新建和扩建互联网数据服务、信息处理和存储支持服务中的数据中心(PUE值在1.4以下的云计算数据中心除外);中心城区全面禁止新建和扩建数据中心[12]。上海市政府在《上海市互联网数据中心建设导则(2019版)》中指出,严禁本市中环以内区域新建互联网数据中心(Internet data center,IDC),原则上选择在外环外符合配套条件的既有工业区内,采用先进节能技术集约建设,并兼顾区域经济密度要求。单项目规模应控制在3000~5000个机架,平均机架设计功率不低于6kW,机架设计总功率不小于18000kW,PUE值严格控制不超过1.3[13]。
2.3 大数据中心的规模设计模型
基于上述分析,本文提出大数据中心的规模设计模型。该模型综合考虑了业务发展需求、基础设施容量能力等多个因素,旨在为数据中心的规模设计提供支持。
(1)基于业务需求的规模设计模型
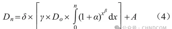
大数据中心承载着多样化的业务并随时准备接收新的需求,因此从业务出发,对大数据中心的规模进行设计。在实际生产中,现有应用系统的规模、可预见范围内的信息系统上线及发展、重大业务上线和特殊应用系统上线等因素都会对数据中心的规模设计产生影响,具体可表示为:

其中,Dn为总的业务需求体量,一般是数据量或4.5kW机架数量,如果是特殊需求,如6kW,进行换算即可。δ为重大应用的上线数量,表示在建设周期内,可能上线的重大项目的数量,其数值等于大型应用上线的数量,一般取自然数。γ为对数据中心的影响程度,表示上述不同因素对数据中心的影响程度。当系统的部署很明确时,γ=1;当系统的部署不明确时,γ>1,以保证一定的冗余能力。Do表示现有的业务需求,一般是4.5kW机架的数量,如果是特殊需求,如6kW,进行换算即可。α和β表示在无突发性业务引入的情况下,预见企业数据增长量的两个因素,α为固有数据增长率,即以现有数据为基础的年数据增长率,α以现有数据量或机架量为基础,取值为企业3~5年内的历史平均增长率;β为企业发展速率,即在外部诱因下产生的企业发展增速,当业务稳定无变化时,β=0,当业务处于萎缩增长状态时,0<β<1,当业务处于稳定发展状态时,β=1,当业务处于增速发展时,β>1。积分中的数值“1”表示现有数据中心数据量。x表示时间,单位为年。A为特殊应用系统的体量,表示因特殊应用系统部署产生的体量,需要一次性部署,数据量或机架量需求明确。
(2)基于设备资源的规模设计模型
对于数据中心基础业务历史数据相对薄弱的地区,可以按照IT设备增长与算力存储能力需求来设计数据中心的规模。数据中心内部署的资源可以分为网络、计算、存储这3种类型。明确这3类资源的发展方式,有助于在通过设备数量以及占用容量预估数据中心规模时,获得更加清晰的结果。上述数据中心内的3类资源阐述如下。
- 计算设备:通常包含一般应用服务器、虚拟化应用服务器以及高性能计算服务器。其中,一般应用服务器包括机架式工作站、PC服务器等,主要运行各种中小型的应用系统,设备一般为每台占用2U~4U空间,应用设备数量不低于2台;虚拟化应用服务器具有更高效的资源利用率,多个虚拟机运行在一台或一组虚拟化服务器集群或刀片服务器集群中,使得全部的空闲资源被尽可能地利用起来;高性能计算服务器具有部署密度高、功率密度大的特点,设备相对紧凑,建议单独设置区域部署。高性能计算系统部署主要为实现并行数据计算而非降低设备空间占用率。
- 存储设备:数据存储对于设备空间的占用受到3个因素的影响,分别为磁盘容量、存储形式以及磁盘运行模式。
- 数据中心网络设备:可分为IP网络设备、存储网络设备、多计算机切换(keyboard、video、mouse,KVM)与安全系统、综合布线设备等。
由于存在下述关系:

因此,在数据中心规模计划时,可通过设定计算及存储能力目标,结合IT设备发展情况,确定各类设备的占用空间和供电需求等,从而确定数据中心的建设规模。
3 结束语
本文主要研究解决大数据中心的地理选址和规模规划问题,旨在为大数据中心的建设提供系统性的决策支持。本文深入分析了大数据中心选址的关键因素,综合专家评估与科学分析,构建了选址评价模型,形成通用评估标准。在此基础上,对全国48个重点城市进行全面调研,并运用选址模型为各城市打分排名,以便为相关组织和个人提供决策支持。选定站址后,可参考本文提出的数据中心规模设计模型,实现对数据中心快速高效的建设部署。
该研究的成果有助于增强选址决策的合理性和精确性,同时也为数据中心的持续发展打下了坚实的基础。利用这些研究发现,能够更有效地完成大型数据中心的规划与建设,确保符合业务需求,提高运作效能,进而促进行业稳定发展。
来源:电信科学
参考文献:
- 国家发展改革委, 中央网信办, 工业和信息化部, 等. 关于发布《全国一体化大数据中心协同创新体系算力枢纽实施方案》的通知[EB]. 2021. National Development and Reform Commission, Cyberspace Administration of the CPC Central Committee, Ministry of Industry and Information Technology, et al. Notice on the issuance of the Implementation Plan for the Computing Power Hub of the National Integrated Big Data Center Collaborative Innovation System [EB]. 2021.
- 李秀兰, 漆蕾, 纪东升. 我国新类型数据中心规模预测与发展动向研究[J]. 网络安全和信息化, 2022(5):11-15. LI X L, QI L, JI D S. Research on Scale Prediction and Development Trend of New Type Data Center in China [J]. Cybersecurity & Informatization, 2022(5):11-15.
- 中国信息通信研究院. 数据中心白皮书(2022年)[EB]. 2022. China Academy of Information and Communications Technology. Data Center White Paper (2022) [EB]. 2022.
- 钟景华. 《数据中心设计规范》GB 50174—2017解析:数据中心等级划分与选址[J]. 工程建设标准化, 2017(12):14-18. ZHONG J H. Interpretation of Code for Design of Data Center GB 50174-2017: Classification and Site Selection of Data Center [J]. Standardization of Engineering Construction, 2017(12):14-18.
- 钟景华, 史海疆. 新基建背景下数据中心选址与节能[J]. 电气时代, 2020(6):24-27. ZHONG J H, SHI H J. Location Selection and Energy Saving of Data Center Under New Infrastructure [J]. Electric Age, 2020(6):24-27.
- 王继业, 周春雷, 李洋, 等. 数据中心关键技术与发展趋势综述[J]. 电力信息与通信技术, 2022, 20(8):1-21. WANG J Y, ZHOU C L, LI Y, et al. Review of Key Technologies and Development Trends of Data Center Construction [J]. Electric Power Information and Communication Technology, 2022,20(8):1-21.
- 人瑞人才, 德勤中国. 产业数字化人才研究与发展报告(2023)[M]. 北京:社会科学文献出版社, 2023. Renrui Talent, Deloitte China. Research and Development Report of Industrial Digital Talents (2023) [M]. Beijing: Social Sciences Academic Press, 2023.
[8] 吴志昂, 张学斌, 王学军, 等. 数据中心选址要素及评估模型研究[J]. 电信工程技术与标准化, 2021, 34(8):16-20. WU Z A, ZHANG X B, WANG X J, et al. Study on critical factors and assessment model for data center location[J]. Telecom Engineering Technics and Standardization, 2021, 34(8):16-20.
[9] 程歆玥, 胡超男, 夏斯涵, 等. 大型数据中心的规划与选址研究[C]//2021—2023 智慧城市原创设计展及智慧城市建设产业博览会(成都站)论文集. 2023:57-70. CHENG X Y, HU C N, XIA S H, et al. Research on the planning and location of large data centers[C]//2021-2023 Smart City Original Design Exhibition and Smart City Construction Industry Expo. 2023:57-70.
[10] 张岚. 层次分析法在煤矿区工业遗产价值评估体系中的应用研究[J]. 煤炭技术, 2024, 43(1):277-280. ZHANG L. Application of the analytic hierarchy process in the evaluation system of industrial heritage value in coal mining areas[J]. Coal Technology, 2024, 43(1):277-280.
[11] 工业和信息化部. 电信互联网数据中心:YD/T 2543—2013[S]. 北京:人民邮电出版社, 2013. Ministry of Industry and Information of the People’s Republic of China. Energy efficiency evaluation methods for IDC:YD/T 2543-2013[S]. Beijing:Posts & Telecom Press, 2013.
[12] 北京市人民政府办公厅. 北京市新增产业的禁止和限制目录(2018年版)[EB]. 2018. General Office of Beijing Municipal People’s Government. List of prohibited and restricted new industries in Beijing (2018 edition)[EB]. 2018.
[13] 上海市经济和信息化委员会. 上海市经济信息化委关于印发《上海市互联网数据中心建设导则(2019 版)》的通知[EB]. 2019. Shanghai Economic and Information Commission. Notice on the issuance of the Shanghai Internet data center construction guidelines (2019 edition)[EB]. 2019
【版权声明】凡本公众平台注明来源或转自的文章,版权归原作者及原出处所有,仅供大家学习参考之用,若来源标注错误或侵犯到您的权利,烦请告知,我们将立即删除。
【免责声明】本公众平台对转载、分享的内容、陈述、观点判断保持中立,不对所包含内容的准确性、可靠性或完善性提供任何明示或暗示的保证,仅供读者参考。


雷达卡


京公网安备 11010802022788号







