一、研发背景
2004年,联合国全球契约组织发布了名为“关注者即赢家”的报告,当时,该组织联合了超过20家金融机构,共同向金融界提出了富有建设性的建议。这些建议旨在将环境、社会和治理这些关键因素更好地整合进分析、资产管理和证券交易等领域。此举标志着ESG作为一个整体概念首次进入公众视线。从某种程度上说,这些最初的ESG建议是由金融界提出的,之后由于其内在的巨大价值和正面效应,迅速扩展至其他多个领域,影响力日益扩大。
党的二十大明确了我国生态文明建设和可持续发展的未来蓝图。在此背景下,全社会对ESG可持续发展理念的关注达到了前所未有的水平。
ESG涉及的内容非常广泛且意义深远,是一种专注于企业环境影响、社会责任和公司治理表现的投资理念和管理方式。
在当前时代的发展中,它已成为各行各业推进可持续发展、加速绿色低碳转型的关键工具和不可或缺的平台。环境、社会和公司治理(Environmental, Social and Governance, ESG)与高质量发展和“双碳”目标高度一致,是一种评估企业环境、社会、治理表现而非财务表现的投资理念和企业评价标准,常用于评估企业行为并预测其未来的财务状况。通过ESG评级,投资者可以观察企业的ESG表现,评估其投资行为及其在推动经济可持续发展、履行社会责任等方面的贡献。
企业ESG评级的重要性不容小觑。它可以协助投资者快速筛选出在环保、社会贡献及公司治理方面表现卓越的企业,帮助投资者更高效、精确地做出投资决策,规避盲目投资的风险,确保资金投向更值得信任、更有长远发展潜力的企业,从而最大化投资收益。
为了实现各行业企业的ESG准确评级,艾思亿德凭借其在企业数据领域的多年积累和专业优势,建立了一个基于数据驱动、定量评估、评分支持的企业ESG评级系统,并利用艾思企业综合数据库和数字智能能力,开发了艾思ESG企业评级数据库。为政府监管机构、金融机构和企业提供了一种高效、精准、可靠的ESG评级服务,帮助各方更好地理解和评估企业的可持续发展表现,推动企业履行社会责任,实现可持续发展。
二、主要应用场景
(一)企业可持续发展
借助艾思ESG企业评级数据库的评级结果,企业可以准确发现自身在环境、社会及治理方面的问题,为企业战略规划提供重要参考,根据自身的ESG表现和行业趋势,设定可持续发展目标,提升企业的市场竞争力。
(二)投资决策优化
对于金融机构和个人投资者来说,利用艾思ESG企业评级数据库提供的企业ESG评级,可以提供企业在环境、社会及治理方面的综合表现信息,帮助投资者识别具有长期发展潜力的企业,做出更为科学的投资决策,降低投资风险。ESG评级还有助于投资者优化投资组合,将资金投入ESG表现优秀的公司,增强投资组合的整体稳定性。
(三)信贷风险评估
通过参考企业的ESG表现,银行等金融机构可以快速评估借款企业的风险行为,成为衡量企业信用风险和融资价值的关键指标。ESG表现良好的企业通常具有更高的运营稳定性和可持续发展能力。金融机构在信贷评估时,考虑ESG表现,对ESG表现突出的企业给予信贷支持,确保信贷资金的安全。
(四)政府绿色治理
结合艾思ESG企业评级数据库,政府可以获取企业的环境、社会及治理维度的数据、各项得分和评级信息。政府能够实时监控企业发展,推动社会经济向绿色、低碳、可持续方向发展,精准评估企业的可持续发展能力,优化资源分配。通过大数据分析,提高政策制定的科学性和实施的准确性,促进产业升级和经济结构调整。
(五)学术主题科研
ESG主题研究逐渐成为学术研究的热点,企业ESG评级与高质量发展、绿色增长、“双碳”目标及新型生产力紧密相连。越来越多的研究者探讨ESG评级对企业可持续发展能力的影响,但大多数研究仅限于特定区域(上市企业),很少有研究涵盖所有企业。艾思ESG企业评级数据库从环境、社会、治理三个维度出发,结合企业争议事件的舆情信息,全面覆盖企业的各项维度和ESG表现得分、各维度评分和ESG评级、70+个详细的企业原始指标数据以及各行业的平均值,多角度覆盖超过5000万家运营企业、地区、行业的三维研究。该数据库与艾思企业综合数据库相连接,方便跨库匹配研究。
三、评估方法
艾思亿德通过汇集多源数据融合的企业大数据画像,全面洞察企业的环境、社会及治理维度特性,旨在科学且精确地衡量企业在环境、社会及公司治理方面的表现,研发了企业ESG评级评估指标体系及模型,对全国运营中的企业ESG表现进行评估,准确评价企业ESG表现,推动企业的可持续发展。
(一)评估体系
ESG评估指标体系由环境(E)、社会(S)、治理(G)三大维度组成,每个维度下设多个指标及相关议题。评估维度和相关议题的选择原理如下:
- 环境维度。积极响应国家可持续发展战略,结合《环境保护法》及国内外政策文件和标准要求,构建了包含4个二级指标、12个三级指标的体系,涉及环境披露、环境负面风险、绿色管理体系认证、环保效能等方面。
- 社会维度。基于我国实际情况,结合《社会责任管理体系要求及使用指南》,形成了包含6个二级指标、41个三级指标的体系,覆盖员工招聘、企业员工构成、员工权益、企业创新、对外投资、企业管理体系认证等方面。
- 治理维度。参考《上市公司治理准则》、《关于转发<央企控股上市公司ESG专项报告编制研究>的通知》等国内政策文件和标准,构建了包含5个二级指标、18个三级指标的体系,涵盖企业规模、财务行为、股权架构、组织架构、治理负面风险等方面。
指标构建遵循价值发现性、可获取性、可比较性、可量化性和可解释性等原则。如表1所示,从上至下构建三级指标,具体包括3个维度(环境、社会、公司治理)、15个二级指标,70+个三级指标。构建指标体系总体上采取定量+定性、正向+负向、报告期+累计指标相结合的方式,以定量、正向指标为主,定性、负面指标为辅作为调整指标,增强整体评估框架的完整性。
表1 艾思ESG企业评级评估体系


*注:本表未标明三级指标,即具体使用数据项
(二)评估模型
- 行业分类。考虑到各行业、各企业在ESG评估体系的底层数据点披露情况存在差异,且同行业内指标数值较为接近,因此按国民经济二级分类进行划分,主要依据2017年发布的国家标准行业二级分类,其中部分二级行业进一步细分至三级行业(如B06煤炭开采和洗选业/C31黑色金属冶炼和压延加工业/C32有色金属冶炼和压延加工业/C26化学原料及化学制品制造业/D44电力热力生产和供应业/E47房屋建筑业/F51批发业/F52零售业),以实现企业的分行业ESG评级。
- 数据预处理。利用数据分析技术,收集和整理与环境、社会及治理维度相关的指标数据,包括企业的环境行政处罚次数、专利申请数量、董事、监事、高管总人数以及争议性舆情事件等。通过机器学习算法和自然语言处理技术实现文本挖掘、主题建模、情感分析等,以实现对各维度底层数据点的特征提取和分析,更客观地评估企业ESG评级。
- 数据化处理。针对全量5000多万家运营中的企业,在同一行业内不同企业中,同一指标数值存在显著的数据差异。艾思亿德为了更准确地量化同行业指标数值,采用了数据化处理方法,该方法能最大限度减少异常值和极端值对量化结果的影响,同时保证不同指标数据的可比性,提升量化结果的科学性和稳定性。
i = loge (x)
(公式 1)
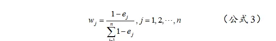
其中i表示对数化后的指标,x表示原始指标。 - 指标权重。模型采用AHP层次分析法与熵权法相结合的方法,权重设定既考虑主观经验,也利用客观数据。将主观权重和客观权重结合,可以综合考虑专家经验和数据信息,避免单一方法的局限,提高权重分配的准确性和可靠性。
- AHP层次分析法。根据指标层级分别构建判断矩阵,然后进行专家评分以获得指标权重(因底层指标数量众多、细节较多,主观判断影响较大,可针对一二级指标构建判断矩阵,获得高层级指标权重,再结合熵权法进一步调整)。
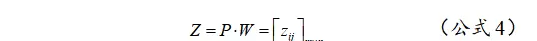
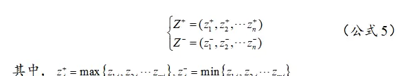
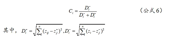
- 熵权法TOPSIS法。根据三大维度底层指标分别进行熵权法赋值权重,得出各维度下的指标权重。将熵权法计算所得的权重,结合TOPSIS法通过正理想解和负理想解,计算各评估企业与正理想解和负理想解之间的距离,最终得出各企业的综合评估。
(1)指标信息熵
ej

(2)各指标权重

(3)加权决策矩阵

(4)确定最优解和最劣解

(5)企业的相对贴近度

依据行业分类,对经过标准化处理(正向、负向指标采用不同方法)的三级指标数据应用熵权TOPSIS法,以获取各底层指标的权重及二级指标的综合评分。接着,利用AHP层次分析法确定的二级指标权重,通过线性加权计算出一级指标(环境、社会、治理)的综合评分。最后,结合专家赋予的一级指标权重,从环境、社会和治理三个维度考量,并考虑公司在报告期间发生的舆论等争议事件,以各维度综合评分为主要依据(占比80%),争议事件为次要依据(占比20%),计算出公司的ESG表现综合评分。
最终得分:

其中ESG scores 表示总分,E 表示环境维度的得分,S 表示社会维度的得分,G 表示治理维度的得分,D 表示争议事件得分。
(三)ESG综合评级
基于ESG企业得分,进一步对各行业内的企业进行ESG综合评级。以行业综合得分的最小值、平均值及最大值作为基准,根据ESG得分将企业划分为九个等级,从高至低依次为AAA、AA、A、BBB、BB、B、CCC、CC、C九个级别(表2)。
表2 ESG综合评级结果

四、数据内容
(一)数据说明
1、数据内容
艾思ESG企业评级评估体系涵盖工商登记、企业运营、知识产权、资本市场等四个数据维度,数据来源为艾思企业综合数据库1。所有指标数据的统计截止日期为2024年12月28日。
具体来说,工商登记数据包括企业、个体、非工商组织等全部市场主体的注册信息,如注册详情、股东信息、高级管理人员信息、变更记录、分支机构、非注册地址等基本资料。企业运营数据主要涉及企业年报、财务报告、发票、税务、融资、招聘、招投标等反映企业运营活动的数据。知识产权数据覆盖商标、专利、软件著作权、集成电路布局设计、科技人才、基金项目、期刊论文等信息。资本市场数据收集了A股、新三板、港股、科创板等金融市场的数据,包括上市公司基础信息、财务数据、股权结构、高级管理人员信息、金融投资与分红、研发创新、财务报表附注、员工持股计划、违规处罚事件、吸收合并情况、公告新闻、市场行情等具体内容。
(二)ESG数据库
艾思ESG企业评级评估数据库包含ESG总分、各分项维度得分、各分项维度底层详细指标(原始值)、各分项维度行业平均水平等8张数据表(参见表3)。其中,ESG数据库详细数据指标的数量见表4。
表3 艾思ESG企业评级评估数据库

表4 ESG数据库详细指标数据量

(三)企业 ESG 评级总分表
1、字段说明
评级总分表包括企业行业分类、企业ESG评估总分和评级结果、环境维度评估总分和评级结果、社会维度评估总分和评级结果、治理维度评估总分和评级结果等分项维度。该表从多个角度全面评估企业的ESG综合表现,通过这些关键指标的精确量化与深入分析,有助于准确评价企业的可持续发展能力。
表5 企业ESG评级总分表

2、ESG评级划分
艾思亿德以行业为基础,根据ESG企业综合表现得分,进一步对各行业内的企业进行ESG综合评级。因此,企业被划分为AAA、AA、A、BBB、BB、B、CCC、CC、C九个级别(等级含义参见表2),并提供了电力、热力生产和供应业行业的企业评级分布情况(图1)。

图1 电力、热力生产和供应业的企业评级分布
图2展示了国网综合能源服务集团有限公司在ESG环境、社会、治理等分项维度的得分及其所属的国标行业(电力、热力生产和供应业)的行业平均得分。

图2 艾思ESG企业评级样例
3、数据样例
评级总分表包括企业行业分类、企业ESG评估总分和评级结果、环境维度评估总分和评级结果、社会维度评估总分和评级结果、治理维度评估总分和评级结果等分项维度。总分表示例如下表所示:
表6 ESG企业评级数据样例

4、数据运用
企业ESG综合表现得分范围在[0,100]之间,以行业为基准,实现同行业内企业的ESG评级,用于评估企业的可持续发展能力。评价等级越高,企业的可持续发展能力越强,综合表现更佳。图3显示了不同等级对应的企业数量分布情况,其中评价等级为B的企业数量最多,达到6628.8737万家。企业ESG评级对于了解和评估企业的可持续发展表现,衡量企业的可持续发展能力,在企业自身可持续发展、金融投资、信贷风险评估、政府管理、学术研究等领域具有一定的参考价值。

图3 ESG评价等级企业数量分布情况统计
(四)分项维度详细指标数值
1、环境维度
艾思ESG企业评级数据库的数据池涵盖了企业注册信息、经营活动数据、财务状况、股东及出资情况、负面信息(如经营异常、违法违规、行政处罚、司法诉讼、税务不良等)以及知识产权数据(如商标、专利、软件著作权、招投标等)等多个方面的内容。
图4对各行业下企业的环境行政处罚、环境争议事件、绿色专利数量进行了统计。这些指标为研究提供了多角度的数据支持,有助于深入分析企业在环境维度的综合表现。由图中可见,制造业和科学研究和技术服务业所拥有的绿色专利数占绝大部分,其中制造业的绿色专利数最高,但同时面临的环境行政处罚数量、环境争议事件数量也是最多的,这显示制造业在绿色技术创新方面投入较大,成果显著,但也面临较为严格的环境监管挑战。
图4 不同行业环境行政处罚、环境争议事件、绿色专利数量统计
2、社会维度
图5展示了不同行业中,企业在报告期内申请专利数、中标数以及申请商标数量的统计。报告期内申请专利数是指企业在报告期内提交的专利申请数量,该指标能够衡量企业的创新发展能力。报告期内中标数是指企业通过参与招标活动获得的中标项目数量,中标数是企业业务扩展和盈利能力的关键体现。报告期内申请商标数量是指企业提交的商标注册申请数量,反映了企业的整体竞争力。
图5 不同行业报告期内申请专利数、中标数及申请商标数量统计
3、治理维度
根据图6的数据,可以横向比较上市公司与在营中小企业的近三年经营异常和严重违法失信比例。可以观察到,在营非上市公司出现经营异常和严重违法失信的比例显著高于上市公司。图7统计了不同类型企业的争议事件数和近三年行政处罚数,其中上市公司的争议事件数比非上市公司(在营)多,但近三年的行政处罚数量远低于非上市公司,占比仅为0.227%,这表明上市公司拥有更严格的合规管理体系和更完善的内部控制机制,在企业内部治理方面达到了较高水平。
图6 企业治理负面风险统计
图7 企业治理负面风险统计
(五)行业均值
1、字段说明
行业均值表基于各行业环境、社会、治理分项维度得分的平均值计算得出,涵盖了国家标准行业二级和部分三级行业分类,包括国家标准行业分类、企业数量、环境维度均值、社会维度均值、治理维度均值,具体的表结构如下表7所示。
表7 企业ESG评级-各分项维度行业标准值表
2、数据样例
企业ESG评级-各分项维度行业标准值样例如下表所示:
表8 各分项维度行业标准值样例表
3、数据运用
分项维度行业标准值作为企业ESG综合表现评级的基础,为不同行业间的可持续发展能力对比提供了数据支持。图4给出了五个行业的数据详情,分别是体育馆建筑、褐煤开采洗选、热力生产和供应、农药制造及稀有稀土金属冶炼。褐煤开采洗选行业的企业数量仅1471家,但其社会维度均值水平高达40.524,表明该行业在社会责任履行方面表现良好,政府出台的一系列扶持政策,鼓励企业进行技术改造和设备更新,提升行业整体竞争力。
图8 各维度行业均值得分及企业数量统计
五、数据优势
艾思亿德凭借其在企业数据治理的专业性,利用大数据优势构建了艾思ESG企业评级数据库,在量化指标和模型计算上展现了以下优势:
(一)数据更全面
艾思ESG企业评级数据库的数据池包含了企业注册信息、经营活动数据、财务状况、股东及出资情况、负面信息(如经营异常、违法违规、行政处罚、司法诉讼、税务不良等)以及知识产权数据(如商标、专利、软件著作权、招投标等)等多方面内容,从多个维度出发,多源数据的整合使得对企业ESG综合表现的描述更加全面,避免了单一数据维度带来的局限性。
(二)评级更广泛
艾思ESG企业评级数据库结合了中国的监管政策与国情现状,参照上市公司多元融合的披露框架,综合真实数据质量,覆盖了全量亿+家企业,包括上市公司和中小企业。解决了非上市公司评级的难题,帮助各方更好地了解和评估企业的可持续发展表现,促进企业履行社会责任,实现可持续发展。
(三)模型数智化
评估模型采用了全线上数字化运行方式,借助先进的信息技术架构和算法体系,实现了数据的快速处理、实时更新和高效分析。从数据的输入到结果的输出,整个流程都在数字化环境中自动完成,不仅大幅提升了评估效率,而且最大限度地减少了人为因素的影响,确保了评估过程的透明性和可追溯性,使评估结果客观真实、可靠有效。
(四)运用更灵活
本数据库提供了各原始指标的详细原始数据值及得分数据,用户可以根据自身特定的需求,进行二次加工,以满足多样化的数据应用场合和分析需求。


雷达卡


京公网安备 11010802022788号







