01、数据说明
省级地方债务余额指的是在某一特定时间点(例如年末),省级政府及其下属机构所承担的债务总额。这类债务主要来源于地方政府为推动经济发展和项目建设而进行的资金筹措活动,如基础设施建设、公共服务供给等。当财政收入不足以覆盖支出时,地方政府会通过发行债券或向金融机构贷款等方式融资,从而形成债务。
地级市层面的地方债务余额则是指市级政府及其所属单位在同一时点上的未偿还债务总额。虽然其规模通常小于省级债务,但由于地方财政能力有限,市级债务的风险可能更加集中和显著。

02、数据内容概览
本数据集涵盖2006年至2023年期间中国各省份及地级市的地方债务相关信息,主要包括以下指标:
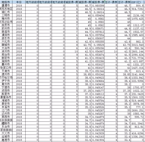
- 地级市部分:
- 城市名称
- 统计年份
- 地方政府债券数量(只)
- 地方政府债券余额(亿元)
- 地方政府债券余额占总债比例(%)
- 城投债发行数量(只)
- 城投债余额(亿元)
- 城投债余额占比(%)
- 债券总数量(只)
- 债券总余额(亿元)
- 地区GDP(亿元)
- 公共财政收入(亿元)
- 公共财政支出(亿元)
- 债务负担率(%)
- 负债率(%)
- 财政自给率(%)
- 省级部分:
- 省份名称
- 统计年份
- 地方政府债券数量(只)
- 地方政府债券余额(亿元)
- 地方政府债券余额占比(%)
- 城投债发行数量(只)
- 城投债余额(亿元)
- 城投债余额占比(%)
- 债券总数量(只)
- 债券总余额(亿元)
- GDP总量(亿元)
- 公共财政收入(亿元)
- 公共财政支出(亿元)
- 债务负担率(%)
- 负债率(%)
- 财政自给率(%)
上述数据可用于分析不同层级政府的债务结构演变、偿债能力变化以及财政可持续性等问题,具有较强的政策研究与实证分析价值。
参考文献:
- 钱一蕾, 陈姗姗, 钟宁桦, 等. 地方政府债券对城投债券发行规模与定价的影响[J]. 财贸经济, 2023, 44(07): 22-38.
- 段勤勤, 冷雨晴. 地方政府债务风险评估[J]. 华北金融, 2023, (11): 82-93.
- 程昊, 阎晚晴. 关于化解地方债务问题的政策建议[J]. 国际金融, 2022, (05): 47-51.



雷达卡


京公网安备 11010802022788号







