企业全要素生产率(TFP)是评估企业在既定资源投入下生产效率的重要综合性指标,能够体现技术进步、管理优化、组织结构调整等因素对产出的贡献。该指标超越了传统的资本与劳动投入分析,更全面地反映企业的实际生产效能。
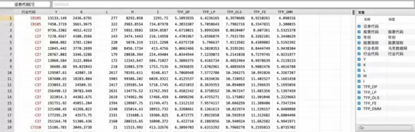
本数据集聚焦于中国制造业上市公司,时间跨度为1999年至2023年,共涵盖35,480条有效样本,数据来源于各上市公司公开发布的年度报告。经过系统整理,数据包内包含原始数据、测算结果以及完整的dofile程序文件,便于使用者复现和验证。
在测算方法上,参考鲁晓东、连玉君(2012)等学者的研究范式,采用五种主流估算模型进行全要素生产率计算,具体包括:OLS回归法、固定效应模型(FE)、Levinsohn-Petrin方法(LP)、Olley-Pakes方法(OP)以及GMM动态面板估计法。多种方法并行处理有助于提升结果的稳健性与可比性。
数据提供格式兼顾通用性与学术需求,同时支持Excel和Stata的dta格式,方便不同研究背景的用户直接使用。



参考文献
- [1] 鲁晓东, 连玉君. 中国工业企业全要素生产率估计:1999—2007[J]. 经济学(季刊), 2012, 11(02).
- [2] 胡本伟. 中国制造业上市公司的融资约束[D]. 南京大学, 2014.


雷达卡


京公网安备 11010802022788号







