正文
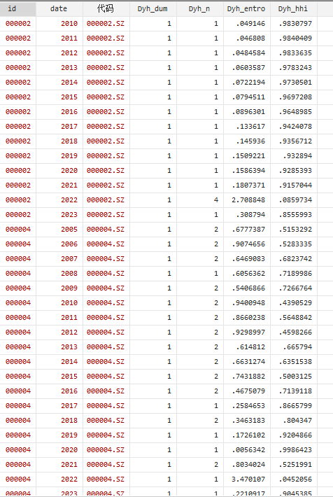
沪深A股多元化经营相关数据介绍原始数据通过stata计算后,得出多元化经营数据结果。相关数据展示如下:
数据相关图片展示

附件文件相关图片展示
计算结果图片展示
数据量图片展示
送代码相关说明2000 - 2023年沪深A股送代码,涉及多元化经营哑变量、经营单位数、收入熵指数、赫芬达尔指数HHI相关数据。
2000-2023年沪深A股多元化经营指标及熵指数与HHI测度
(76 Bytes, 需要: RMB 36 元)
|
楼主: wyouhui
|
37
0
[经管数据集] 2000-2023年沪深A股多元化经营指标及熵指数与HHI测度 |
|
已卖:451份资源 巨擘 0%
-
|
| ||
|
⚠️文件描述全部由Ai整理,仅供参考,具体内容以标题描述实际下载为准!
|
|||
|
|
扫码京ICP备16021002号-2 京B2-20170662号
京公网安备 11010802022788号
论坛法律顾问:王进律师
知识产权保护声明
免责及隐私声明


