社会信息化指数的模型_社会信息化指数计算方法与公式
社会信息化指数的模型
这种方法从影响社会信息化的诸多因素中选出了11 项要素共4 大类指标,计算出一个反映社会信息化程度的总体指标社会信息化指数。
图:社会信息化指数体系结构
社会信息化指数计算方法与公式
模型中11个要素是不同质的要素,因而无法直接计算,需要先将各种数值转换成指数后,方能求得最终信息化指数。计算FITE模型的最终信息化指数,有两种方法:一步算术平均法和二步算术平均法。
(1)一步算术平均法
假设11个要素对最终信息化指数的贡献等值。先将基年某国家或地区的各项指标的数值si定为100,将测算年度某国家或地区的同类指标值xi除以基年值si,计算出测算年度各项指标的指数值,然后将各项指标的指数值相加,再除以要素数11,便得到最终的社会信息化指数。用公式表示为:
![]()
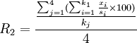
(2)二步计算法
假设四组要素对最终信息化系数R2的贡献相等,每组中各要素的贡献相等,则:
![]()
其中xi,si意义同前,kj = 4,3,2,1,分别为各组的要素数。


雷达卡






京公网安备 11010802022788号







