这个世界充满了概念,各种产业的群里讨论着各种概念,从软件定义PLC、软件定义智能、软件定义安全、软件定义网络、软件定义PLC、软件定义制造,中台、容器,就像1999年那会我装B的时候也学会了ASP、PowerBuider、盈利模式、高端等各种词汇,也因此产生了众多的大咖、专家,而且参与着产业各种政策的建议与指导意见,想想也是可怕,似乎伟大的时代已经到来,几天前和几位业界前辈讨论起这些产业的现象,前辈先生说都是概念解释概念,要说这是好事吧,还真是,制造业那么久没有人关注,一直以来觉得制造业真是个苦逼的领域,今天受到如此多的关注,实在让产业的人有点受宠若惊的感觉,你要是玩股票你可以F10看看各个企业的净利润,就连工商银行那种被吐槽的都有35%,跟着一帮民生、农业银行都是在35%左右这个水平,而被定义为大型、引领着行业标杆一大帮标杆型企业,其利润也仅在10%左右,因此,在很长一段时间里,我会觉得困惑,这种利润如此薄的产业,大家进来图个什么呢?

据羿戓制造所了解,当讨论起数据驱动赋能制造的时候,每个金碧辉煌的会议室里,各种论坛都讨论着各种高端、大气上档次的话题,嘉宾也都有着靓丽的TITLE,院士、教授、CEO、CTO、CIO、CXO,你总是期望着从中听到点指点你的未来发展的方向,各种概念冲击着你的大脑,通过数据,发现规律,然后优化制造过程,提高品质的、节省能耗的、预测性维护的…但是,一谈到具体的“场景”、“应用”的时候,基本上都是“框图”、“架构”,还有一些“为了智能而智能”的场景应用,非要为了个电机跑偏弄了个所谓的工业互联网场景还用起了5G,而且说原有的网络实时性不足、封闭、成本高,还有一些用了各种高大上的数据驱动、模型之类新词汇拼出来的场景,搞得我心浮气躁—你这玩意,我们就两I/O点拿个你们认为过时的HMI(带控制)就可以轻松搞定,而且,移动端也一样可以显示、报警、趋势图啊!听多了就觉得把我们做自动化的一帮人众都给冤枉了,有时候搞得我不得不给我的友商说句公道话。小邪对此也是有点意见,有一天跟我说“这帮讨论着人工智能赋能制造业的人居然不知道什么是鲁棒性”,包括各种讨论互联的—连接起来获得数据的潜能,做分析,但是,如何连接,就没有人说话了。
和华为的朋友聊比较多,他们在做很多项目,而且每个人都比较务实的,即使知道很难,但是,却砸下去大量的人在干,有时候觉得大概就这么一家真干啊!那么多讨论概念的,真正干事的,可能就华为这样的,现在还有一种煽动民粹的氛围,有意思的事情是和外资圈的一些朋友聊起来,反倒觉得真正干事的可能是这些公司,即使讲概念—但是,也来自于其设计的软件、系统,而非纯粹的概念—真家伙在下面可以商业应用的,不是闹着玩的,这就让人比较担心,忽悠的多,总说人家卡脖子,自己却什么也不干,总想着靠忽悠概念拿点项目、资金、补贴,这种产业氛围有点让人忧心啊!

要是说起来,感觉自动化这圈人还是有点土的感觉啊!总是会讨论点鸡毛蒜皮的事情,什么工艺流程、现场总线、协议栈,采样频率、延迟这些有点LOW的词汇—PLC被认为是很落后的,要用新的架构来提升,但是,我要是拿出现在PLC能干啥的话,包括自动化圈我们这些人搞Hypervisor来用多核处理器分别执行实时和数据任务的时候,大概他们才能明白原来这些东西已经有了。
更有意思的是有一次和一位IT界的朋友聊起来,我说现在这场景有点乱啊!怎么话语权似乎被你们IT圈给控制了,做OT端的人似乎没有什么声音,结果让我吃惊的是他的反应—不对呀!我们觉得是你们OT端的话语权大啊!搞得我们都没法干事—这倒是让我反思了一下“执念”—难道我们都深陷执念中不能自拔?认真的想想,必须为工业互联网赋予潜能,否则,就是我们太“自我中心”了。
敬畏专业才能真正看清问题
记得韩寒以前写过一篇文章《不要拿你的业余爱好与专业》比,很有些道理,其实,的确如此,就像以前在武汉的时候大楼里打乒乓球比赛,不知道哪个公司请了个外援—据说只是武汉少年队的小伙,直接灭掉武汉国际贸易大厦那栋大楼里最好的秋手,轻松11:0就干掉那种,大概为了显得不要那么嚣张跋扈,也就有两局打个11:1,11:2这种比分。

说这个是的确想说“别把制造”不当回事,以为谁都可以玩,技术的进步都是经历过上百年的,今天五门是站在前人的肩膀上,而这些前人所创造的伟大成就,今天我们都没有超越。
有些总想“颠覆”的力量,似乎要革命制造业—但是,却对制造业知之甚少—也不知道何来的颠覆之念,包饺子就不用面粉了还是馅了?矿泉水不用瓶子装了?还是口罩不用熔喷布了?或者,你的印刷精度更高了,人家都+/-0.1mm精度,你颠覆了,达到了0.01mm—我想告诉你这个没用,overqualified,人家总是说要颠覆,没有想到颠覆哪里了?问及细节,又似乎完全不知所云,看来想超过我们的认知也不是件容易的事情,如果不能超越我们制造业的认知,颠覆就无法发生—谁能让我们眼前一亮呢?
你想赋能,但你得经历苦逼的过程
传统的制造业,就其发展而言,本身是经历过非常艰苦卓绝的历程才到今天的自动化程度比较高,很多人试图开始为制造业赋能。
对于书法而言,你若想创造所谓“风格”,你必须得经历大量的临摹,对汉字的结构之美有一定的了解后,你才能按照自己的特征发展出所谓的“独特”风格,因为你首先得让“结构”这个基本的架构是稳定的、合理的。
记得有一次和我们的一个新的工程师,一位算法设计的博士聊起数据驱动的模型,他就说了一句“如果机理模型可以干,干嘛要用数据方式呢?”,因为机理模型,PID这样的算法经过数十年已经非常成熟,而且“经济”,编个程序方便,都有现成的,大量的工程师都基本上受到这样的训练。
要做一个行业,都是得沉下去数十年不断的优化,就像吹个瓶子—有多少种材料呢?有多少流程,这个过程中光出现的质量问题很多种,比如珠化(分子的过方向性分布造成)、材料固有的特性带来的变形、珍珠光膜(造成瓶子不清晰透亮)、热瓶(乳白色的瓶子-透光率差、抗爆性差)、注口偏移、局部变形、底部过重/积料、重量分布不均匀,这些问题都是依靠工艺的不断对材料、流程、机械、控制参数等进行复杂的测试验证才能生产出高品质的瓶子,才能到后道灌装、贴标确保质量,而又要不断降低成本(通过壁厚控制实现均匀-满足材料的最小和强度的满足质量要求)。

吹瓶过程

吹瓶中的烘炉温度曲线分布
做一件你认为高级的事情,必须经历这个制造现场苦逼的过程,记得2010年在富士康的时候,看富士康针对注塑机的各种缺陷的分析与处理的牌子,挂了上百块,在那里看了半天,深刻感受这其中的艰难,想做好制造业是非常艰苦的,没有去过现场的人不能理解什么叫“现场有神明”,必须到现场,你才知道你想赋能的对象它有什么特征?它的流程有多么复杂?工艺有多少?材料有多少?
建模—是整个工业领域最关键的环节,所有机理模型用于制造业都是经过上百年、数十年成熟起来的,而采用数据驱动模型本身在工业里就已经大量应用了,今天,我只能说新的方法在硬件上更有经济性、但是,建模,无论是机理模型还是数据模型,都是工业基础,而且,在很多时候,你如果不从机理开始,你就无法理解,因为“数据”模型不可解释—这是问题,你如果不懂现场,你连模型为何无法达到效果?也无法明白—因为模型不会主动告诉你这样不行。
工业软件
前几天,就工业软件的困惑问了几位行业的前辈,对于“软件定义X”,比如软件定义制造,个人有些觉得不大严谨,因为IT的自上而下可以这样定义制造—这么说有一定的道理,但是,如果制造业自下而上—就是不是软件来定义制造,而是制造的工艺知识凝聚,软件仅为载体,但是,如果只是个载体,那就不能称为定义对此问了几位业界专家,大家都觉得不是非常严谨,当然另一方面,已经封装的工艺知识通过软件作为载体可以配置生产—应该说这是一个类似于“知行合一”的过程,或者“理论与实践相互作用”的过程,也可以以数字孪生来进行交互的过程,不是软件定义了网络,而是制造提出了网络需求—然后有了网络,而软件定义网络只是为了实现一个灵活的配置能力以应对变化与不确定的生产环境而提出的一个需求,是被拉动的,当然了,有些时候也有技术推动的,但是,如果没有需求,那么推动也会没有着力点,应该说软件定义X--是一个闭环过程。
软件背后实际上是工艺知识的封装,如果这个世界用什么可以定义和描述—那么肯定是数学,第一次听郭老师讲4.0,他会以一个数学的视角看待内生的逻辑和复杂的关系,抽象的理解问题还是数学专业比较功底深刻,在制造业里,无论是逻辑控制的布尔代数还是PID的牛顿-莱布尼兹,包括人工智能符合主义从罗素在数理逻辑领域奠定的基础,而爱因斯坦的相对论也是在黎曼几何的基础上,而维纳和香农的控制论、信息论在统计力学、概率统计,包括人工智能马尔科夫过程等,所有我们今天讨论的话题,都可以回到数学,而数学是物理世界与虚拟世界的桥梁,用数学看待一切制造,你就会看透事物的本质,而不会为概念所困惑,或者明白如何去获得创新的源泉。

数学的独特力量来源其普适性,数学普遍性在于“一切现象下面,都有物理结构,而这个物理结构只能用数学来表示”,“大自然这部署是用数学文字写成的”。
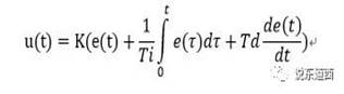
由乔治.布尔所研究的布尔数学为逻辑控制淡定了基础,后来由电子控制计算机的推出,而使得这种继电器逻辑形成了可能性,然而继电器逻辑电路由继电器、接触器等构成,实现开关动作、联锁保护等机制,但是,这种继电器回路的控制方法往往比较固定的控制,而且维护成本也比较高,因此在电子计算机与单片机出来后,才能更好的开发可编程逻辑控制器,这个带来了今天PLC的基础逻辑,因此,PLC本身基于布尔代数的逻辑控制,由香农提出《开关电路与逻辑控制》。
不管干啥—都得老老实实的现场干,抬头看路这个事情不是经常干的,脚踏实地是大部分时间要干的,不要把时间分配比例搞反了。
说了半天,回到主题—我们的确需要敬畏制造,而且,不要停留于概念,拿出实干精神来做具体的推动它实现的事情,我们有那么多事情,而不是每天讨论概念。



雷达卡




京公网安备 11010802022788号







