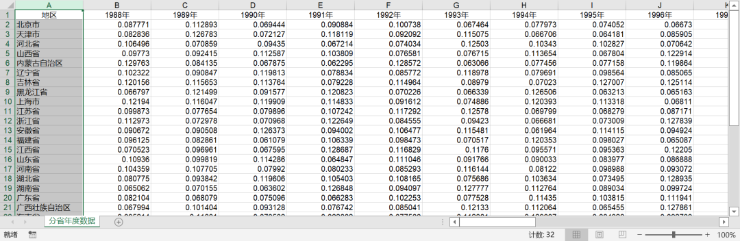
一、数据介绍
数据名称:各省-犯罪率数据
数据年份:1988-2021年
数据范围:全国31个省份
数据说明:利用中国各省的刑事案件发生率作为社会犯罪率变量的测度,部分年份和缺失值经过插值补充
各省-犯罪率数据(1988-2020年)利用中国各省的刑事案件发生率作为社会犯罪率变量的测度
(76 Bytes, 需要: RMB 32 元)
二、参考文献
用途:研究收入不平等与刑事犯罪之间的关系等。
[1]鲁元平,王韬.收入不平等、社会犯罪与国民幸福感——来自中国的经验证据[J].经济学(季刊),2011,10(04):1437-1458.
[2]章元,刘时菁,刘亮.城乡收入差距、民工失业与中国犯罪率的上升[J].经济研究,2011,46(02):59-72.
[3]吴一平,芮萌.收入分配不平等对刑事犯罪的影响[J].经济学(季刊),2011,10(01):291-310.
三、数据概览



雷达卡




京公网安备 11010802022788号







