全球世界各国和地区产业结构高度化高级化2000-2021合理化指数2000-2019泰尔指数.xlsx
(1.52 MB, 需要: RMB 39 元)
合理化指数
泰尔指数(于春晖)
泰尔指数(吕明元)
高度化(三产÷二产)
高度化(一x1+二x2+三x3)÷100
指标的计算方法如下(附件表格中有原始数据和计算公式),参考文献附在后面了,数据来源为世界银行发展指标数据库。
产业结构高级化指数:(1)第三产业产值与第二产业产值之比 (干春晖,郑若谷,余典范.中国产业结构变迁对经济增长和波动的影响[J].经济研究,2011,46(05):4-16+31.)
(2)
(徐德云.产业结构升级形态决定、测度的一个理论解释及验证[J].财政研究,2008(01):46-49.)产业结构合理化指数:
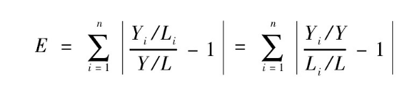
(1)结构偏离度
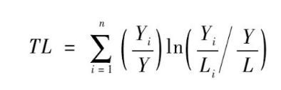
(干春晖,郑若谷,余典范.中国产业结构变迁对经济增长和波动的影响[J].经济研究,2011,46(05):4-16+31.)(2)
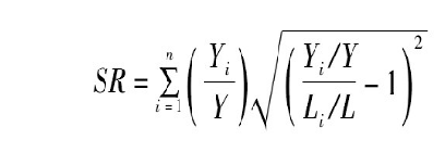
(干春晖,郑若谷,余典范.中国产业结构变迁对经济增长和波动的影响[J].经济研究,2011,46(05):4-16+31.)(3)
(吕明元,尤萌萌.韩国产业结构变迁对经济增长方式转型的影响——基于能耗碳排放的实证分析[J].世界经济研究,2013(07):73-80+89.)

雷达卡






京公网安备 11010802022788号







