
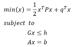
下列选项不正确的是()
A. 目标函数若求max,则可以通过乘以-1将最大化问题转换为最小化问题
B. 如果P是半正定矩阵,那么全局最小值就是唯一的
C. 如果P=0,二次规划问题就变成了线性规划问题
D. Ax=b表示所有的等式约束
题目来源于CDA模拟题库
点击此处获取答案
|
楼主: CDA网校
|
288
0
[每天一个数据分析师] 每天一个数据分析题(二百一十二) |
|
已卖:189份资源 泰斗 7%
-
|
|
![]() |
|
|
|
加好友,备注cda京ICP备16021002号-2 京B2-20170662号
京公网安备 11010802022788号
论坛法律顾问:王进律师
知识产权保护声明
免责及隐私声明


