01、数据介绍
克鲁格曼专业化指数,最初是由Krugman于1991年提出,用于反映地区间产业结构的差异,也被用来衡量两个地区间的专业化水平,因而又称地区间专业化指数。该指数的计算公式及其含义可以因应用背景和具体需求的不同而有所调整,但核心都是衡量地区间的产业结构差异或专业化程度。
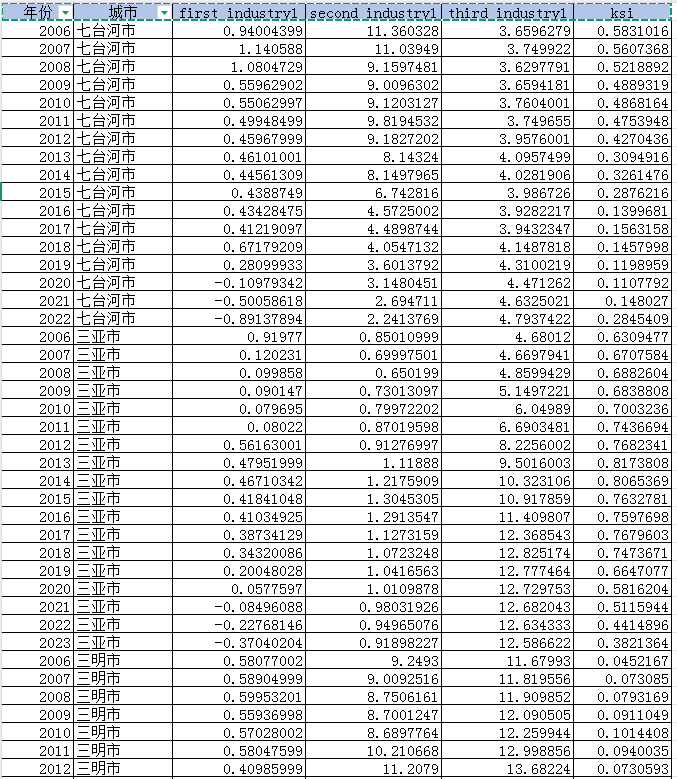
数据名称:地级市-克鲁格曼专业化指数
数据年份:2006-2023年
02、相关数据及指标
年份、城市、第一产业人数(first_industry1)、第二产业人数(second_industry1)、第三产业人数(third_industry1)、专业化指数(ksi)。
03、数据截图



雷达卡



京公网安备 11010802022788号







