- 年份:2005-2024
- 范围:A股上市公司
- 三个版本:经营风险指标(未缩尾未剔除)、经营风险指标(已缩尾未剔除)、经营风险指标(已缩尾已剔除金融STPT)
- 文件格式:Dta格式(使用Stata打开)、Xlsx格式(使用Excel打开)
- 注:提供了剔除所需数据和剔除代码,若无需做该项剔除处理,自行删除相关代码重新运行即可
- 行业参照证监会2012年行业分类标准,制造业用二级行业分类,其他用一级分类来计算并对连续型变量进行了1%和99%分位数的缩尾处理
- 代码格式:do文件(Stata 14/15/16/17/18)
计算说明:
【经营风险1】息税折旧摊销前利润率滚动取值的标准差计算的经营风险
【经营风险2】息税折旧摊销前利润率标准差的累计分布概率
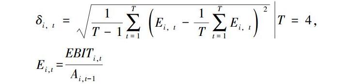
使用企业盈利的波动程度来衡量经营风险的大小。经营风险(盈利波动程度)的计算公式为:

其中
表示第 i 家公司第 t 年的经营风险(盈利波动程度)
表示第 i 家公司第 t 年的息税折旧摊销前利润
表示第 i 家公司第 t-1年 的总资产
另外,由于按这种方法计算的经营风险不服从正态分布,所以本文计算了代表经营风险的息税折旧摊销前利润率标准差的累积分布概率,并用息税折旧摊销前利润率标准差的累积分布概率来衡量经营风险Risk。
参考文献:
- 王竹泉,王贞洁,李静.经营风险与营运资金融资决策[J].会计研究,2017,(05):60-67+9.

代码:

数据量:
描述性统计:
结果数据
上市公司经营风险指标Stata计算代码2005-2024年.zip
(27.39 MB, 需要: RMB 35 元)


雷达卡




京公网安备 11010802022788号







