供应链合作过程中的供求协调成本难以直接度量,因此,本文以企业生产波动对需求波动的偏
离来度量企业供应链供求匹配精准度,刻画供应链供求协调成本。本文借鉴 Cachon et al(. 2007),构建供需偏离度指标,具体定义如下所示:

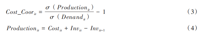
其中,σ (·) 表示变量的标准差,分子和分母分别表示企业生产和需求的波动性。企业生产量
Production通过式(4)计算得到,Cost为企业营业成本,Inv为企业年末存货净值;企业需求量 Denand以企业营业成本 Cost作为代理变量。供应链上供需偏离程度越大,说明供应链上供求匹配精准度越低,企业的供应链供求协调成本越高
注:供需偏离度Cost_coor 是供求协调成本的反向指标,即企业供应链供需偏离度Cost_Coor越大,企业供应链供求协调成本越小该变量在参考文献中作为机制变量使用,可用于机制检验。
参考引用:
- 企业数字化转型与供应链配置:集中化还是多元化_巫强

代码:
数据量:
结果数据
上市公司供应链供需偏离程度和 do-file 2002-2024年.zip
(35.91 MB, 需要: RMB 36 元)


雷达卡



京公网安备 11010802022788号







