在工程与材料科学领域,脆性断裂的数值模拟一直是研究的重点方向之一。有限单元相场法作为一种先进的模拟手段,能够有效处理复杂裂纹的萌生与扩展问题,而无需显式追踪裂纹路径。本文将介绍如何利用MATLAB实现该方法的基本框架,涵盖弹性方程与相场方程的耦合求解过程,并支持增量加载条件下的逐步演化分析。
相场法的核心思想是引入一个连续变量来表征材料的断裂状态。该变量在未受损区域取值为1,在完全断裂区域降为0,中间值则表示过渡性的损伤带。通过这种方式,原本不连续的裂纹被平滑地表达为相场变量的空间分布,从而避免了对裂纹几何形态的直接建模。
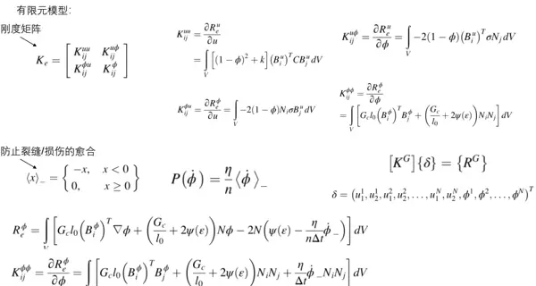
在具体实现中,整个求解流程基于有限元方法展开。首先对位移场
重点来看
再看
综上所述,基于MATLAB平台的有限单元相场法虽然涉及多个数学与力学概念的融合,但其编程实现具有良好的模块化特性,逻辑清晰且易于扩展。通过对微裂纹起始、扩展路径及分叉行为的稳定模拟,该方法为复杂断裂问题提供了强有力的数值工具。读者可在此基础上进一步加入各向异性损伤模型或多物理场耦合机制,提升模拟的真实性与适用范围。
相场法的核心思想是引入一个连续变量来表征材料的断裂状态。该变量在未受损区域取值为1,在完全断裂区域降为0,中间值则表示过渡性的损伤带。通过这种方式,原本不连续的裂纹被平滑地表达为相场变量的空间分布,从而避免了对裂纹几何形态的直接建模。
在具体实现中,整个求解流程基于有限元方法展开。首先对位移场
u
和相场
phi
进行初始化设置。随后,在外部载荷逐级施加的过程中,交替更新位移场与相场变量,形成迭代求解循环。这一过程确保了力学响应与损伤演化的耦合关系得以准确捕捉。
function [u, phi] = phaseFieldFracture(nelx, nely, E, nu, Gc, l)
% nelx, nely: 单元数量
% E: 弹性模量
% nu: 泊松比
% Gc: 断裂能
% l: 相场长度尺度参数
% 初始化位移场和相场
u = zeros(2*(nelx+1)*(nely+1), 1);
phi = ones((nelx+1)*(nely+1), 1);
% 增量外部载荷
for loadStep = 1:10
% 计算弹性应变能
strainEnergy = computeStrainEnergy(u, nelx, nely, E, nu);
% 更新相场变量
phi = updatePhaseField(phi, strainEnergy, Gc, l);
% 求解位移场
u = solveDisplacement(u, phi, nelx, nely, E, nu);
end
end
代码结构主要包括三个关键函数:用于计算弹性应变能的模块、更新相场变量的子程序,以及求解位移场的线性系统求解器。其中,
computeStrainEnergy
负责评估当前应力状态下材料内部的能量分布;
updatePhaseField
根据能量阈值判断是否发生局部断裂,并据此调整相场值;
solveDisplacement
则通过构建并求解离散化的平衡方程来获得节点位移。
重点来看
updatePhaseField
函数的具体实现方式:
function phi = updatePhaseField(phi, strainEnergy, Gc, l)
% 更新相场变量
for i = 1:length(phi)
if strainEnergy(i) > Gc / (2 * l)
phi(i) = 0;
else
phi(i) = 1 - strainEnergy(i) * 2 * l / Gc;
end
end
end
其核心机制依赖于弹性应变能的大小。当某单元内的应变能达到或超过预设临界值时,对应位置的相场变量被置零,表示此处已发生断裂;若未达到阈值,则采用线性插值策略平滑更新相场值,以体现渐进式损伤累积的过程。
再看
solveDisplacement
函数的实现细节:
function u = solveDisplacement(u, phi, nelx, nely, E, nu)
% 求解位移场
K = assembleStiffnessMatrix(phi, nelx, nely, E, nu);
F = assembleLoadVector(nelx, nely);
u = K \ F;
end
该部分首先完成刚度矩阵
K
和外力载荷向量
F
的组装工作,接着求解标准线性方程组
K * u = F,最终输出更新后的位移场结果
u。此步骤保证了每一载荷增量步下结构变形的准确性。
综上所述,基于MATLAB平台的有限单元相场法虽然涉及多个数学与力学概念的融合,但其编程实现具有良好的模块化特性,逻辑清晰且易于扩展。通过对微裂纹起始、扩展路径及分叉行为的稳定模拟,该方法为复杂断裂问题提供了强有力的数值工具。读者可在此基础上进一步加入各向异性损伤模型或多物理场耦合机制,提升模拟的真实性与适用范围。

雷达卡


京公网安备 11010802022788号







