第一部分:不定积分
1.1 不定积分与原函数的基本概念
原函数:若在某一区间 I 上,存在一个可导函数 F(x),其导数恰好等于 f(x),即对于任意 x ∈ I,均有 F’(x) = f(x),则称 F(x) 是 f(x) 在该区间上的一个原函数。
原函数存在性定理:如果函数 f(x) 在区间 I 上连续,则在该区间上必定存在一个可导函数 F(x),使得对所有 x ∈ I 都满足 F’(x) = f(x)。这意味着连续函数一定有原函数。
不定积分:在区间 I 上,函数 f(x) 的所有原函数的集合(即带有任意常数项 C 的表达式)称为 f(x) 的不定积分,记作 ∫f(x)dx。
几何意义说明:不定积分对应于一族曲线,这些曲线在横坐标相同的点处具有平行的切线,反映出它们斜率一致的特点。
1.2 常用基本积分公式
- ∫k dx = kx + C (k 为常数)
- ∫xμ dx = xμ+1/(μ+1) + C (μ ≠ -1)
- ∫1/x dx = ln|x| + C
- ∫sin x dx = -cos x + C
- ∫cos x dx = sin x + C
- ∫secx dx = tan x + C
- ∫cscx dx = -cot x + C
- ∫sec x tan x dx = sec x + C
- ∫csc x cot x dx = -csc x + C
- ∫1/(1+x) dx = arctan x + C
1.3 不定积分的重要性质
线性性质:
- ∫[k·f(x)]dx = k∫f(x)dx (其中 k ≠ 0)
- ∫[f(x)±g(x)]dx = ∫f(x)dx ± ∫g(x)dx
微分与积分之间的关系:
- d[∫f(x)dx] = f(x)dx
- ∫F’(x)dx = F(x) + C
1.4 计算不定积分的主要方法
1.4.1 第一类换元法(凑微分法)
若函数 f(u) 存在原函数 F(u),且 u = φ(x) 是可导函数,则成立:
∫f[φ(x)]φ’(x)dx = ∫f(u)du = F(u) + C = F[φ(x)] + C
常见的凑微分形式包括:
- ∫f(ax+b)dx = (1/a)∫f(ax+b)d(ax+b)
- ∫f(ln x)(1/x)dx = ∫f(ln x)d(ln x)
+
- ∫f(sin x)cos x dx = ∫f(sin x)d(sin x)
- ∫f(tan x)secx dx = ∫f(tan x)d(tan x)
例题1:计算 ∫(2x+1)10 dx
解:令 u = 2x + 1,则 du = 2dx,故 dx = du/2
原式 = (1/2)∫u10 du = (1/2)·(u11/11) + C = (1/22)(2x+1)11 + C
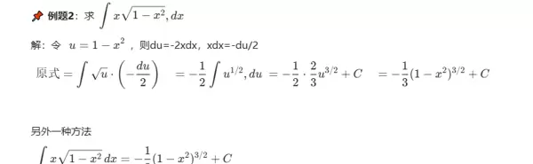
????例题2:
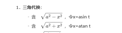
1.4.2 第二类换元法
设 x = φ(t) 是单调且可导的函数,并且 φ’(t) ≠ 0,若复合函数 f[φ(t)]φ’(t) 具有原函数,则有:
∫f(x)dx = ∫f[φ(t)]φ’(t)dt
常用代换方式:
????
例题3:
1.4.3 分部积分法
若 u = u(x) 和 v = v(x) 均具有连续导数,则成立:
∫u dv = uv - ∫v du
选取 u 的优先顺序建议(口诀:反-对-幂-指-三):
按以下顺序优先选择作为 u:反三角函数 → 对数函数 → 幂函数 → 指数函数 → 三角函数
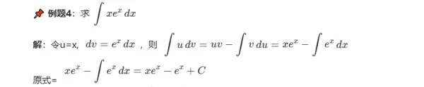
????例题4:
????
例题5:求 ∫x sin x dx
解:令 u = x,dv = sin x dx,则 du = 2x dx,v = -cos x
原式 = -x cos x + 2∫x cos x dx
对 ∫x cos x dx 再次使用分部积分:令 u = x,dv = cos x dx,则 du = dx,v = sin x
∫x cos x dx = x sin x - ∫sin x dx = x sin x + cos x + C
因此,原式 = -x cos x + 2(x sin x + cos x) + C
1.4.4 有理函数的积分处理
有理函数定义:形如 R(x) = P(x)/Q(x),其中 P(x) 与 Q(x) 均为多项式。
积分步骤:
- 若为假分式(分子次数 ≥ 分母次数),先通过多项式除法将其化为“多项式 + 真分式”的形式;
- 将真分式进行部分分式分解;
- 分别对各个简单分式进行积分。
例题6:求 ∫(x+5)/(x5x+6) dx
解:首先对分母因式分解得:x5x+6 = (x2)(x3)
设 (x+5)/[(x2)(x3)] = A/(x2) + B/(x3)
两边通分后得:x+5 = A(x3) + B(x2)
令 x=2 得:7 = A(1) A = 7
令 x=3 得:8 = B(1) B = 8
因此原式 = ∫[7/(x2) + 8/(x3)] dx = 7ln|x2| + 8ln|x3| + C
第二部分:定积分
2.1 定积分的基本概念
定义:设函数 f(x) 在闭区间 [a, b] 上有界,在开区间 (a, b) 内任意插入 n1 个分点,将区间划分为 n 个小区间,构造和式 Σf(ξ_i)Δx_i。当最大小区间长度 λ = max{Δx_i} 趋近于 0 时,若该和式的极限存在且唯一,则称 f(x) 在 [a,b] 上可积,此极限值称为 f(x) 的定积分,记作:
几何意义:表示由曲线 y = f(x)、x 轴以及直线 x=a、x=b 所围成的曲边梯形的面积。
物理意义:可用于描述变速直线运动的路程、变力沿路径所做的功等实际问题。
2.3 可积的条件
函数在某区间上可积需要满足一定的充分条件,主要包括以下两种情况:
- 函数 \( f(x) \) 在闭区间 \([a,b]\) 上连续;
- 函数 \( f(x) \) 在 \([a,b]\) 上有界,且仅有有限个间断点。
2.2 定积分的性质
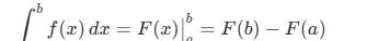
2.4 牛顿-莱布尼茨公式
若 \( F(x) \) 是连续函数 \( f(x) \) 在区间 \([a,b]\) 上的一个原函数,则有:
该公式是计算定积分的核心依据,也被称为微积分基本定理。
2.5 定积分的计算方法
2.5.1 换元积分法
设函数 \( f(x) \) 在区间 \([a,b]\) 上连续,变量替换 \( x = \varphi(t) \) 满足以下条件:
- \( \varphi(\alpha) = a, \varphi(\beta) = b \);
- \( \varphi(t) \) 在区间 \([\alpha,\beta]\) 上具有连续导数,且其值域包含于 \([a,b]\)。
则成立如下换元公式:
注意:进行变量替换时,积分限必须同步更换,即“换元必换限”。
???? 例题7 :
2.5.2 分部积分法
该方法适用于被积函数为两个函数乘积的情形,通过转化简化积分过程。
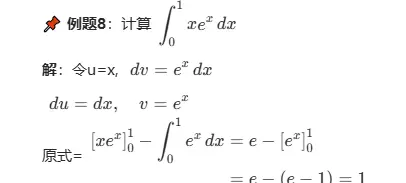
???? 例题8 :
2.6 变上限积分函数及其性质
定义变上限积分为:
若 \( f(x) \) 在 \([a,b]\) 上连续,则函数 \( \Phi(x) \) 在 \([a,b]\) 上可导,且导数为 \( \Phi'(x) = f(x) \)。
进一步地,\( \Phi(x) \) 是 \( f(x) \) 在该区间上的一个原函数。
???? 例题9 :
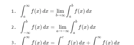
2.7 广义积分
2.7.1 无穷限的广义积分
对于积分区间为无穷的情况,需讨论其收敛性。常用的判别方法包括:
- 比较判别法:通过与已知收敛或发散的非负函数比较;
- 极限判别法:利用极限形式判断趋近行为;
- 绝对收敛性:若 \( \int |f(x)| \, dx \) 收敛,则 \( \int f(x) \, dx \) 也收敛。
???? 例题11 :
2.7.2 无界函数的广义积分(瑕积分)
若函数 \( f(x) \) 在某点 \( a \) 的任意邻域内无界,则称点 \( a \) 为 \( f(x) \) 的瑕点。此类积分需在去除奇点后取极限处理。
???? 例题12 :
2.8 定积分在几何学中的应用
2.8.1 平面图形的面积
2.8.2 体积
*:
2.9 定积分在物理学中的应用
???? 总结
| 模块 | 重点内容 | 常见考点 |
|---|---|---|
| 不定积分 | 基本公式、换元法、分部积分法、有理函数积分 | 凑微分、三角代换、分部积分的选取 |
| 定积分 | 性质、N-L公式、换元法、分部积分法 | 对称区间积分、周期函数积分、含绝对值积分 |
| 变上限积分 | 求导、相关极限 | 与导数定义结合 |
| 广义积分 | 无穷限积分、瑕积分 | 收敛性判断、计算 |
| 积分应用 | 面积、体积、弧长、物理应用 | 几何应用为主 |
本章作为微积分的重要组成部分,要求熟练掌握各类积分技巧,深入理解定积分的概念与基本性质,并能够灵活运用于解决几何与物理中的实际问题。


雷达卡


京公网安备 11010802022788号







