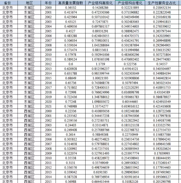
地级市经济高质量发展指数是一项综合性指标,旨在评估各地级市在经济发展质量方面的整体表现。该指数构建了一个涵盖五个核心维度的评价体系,包括产业结构、包容性全要素生产率(TFP)、技术创新、居民生活水平以及生态环境质量,从而对全国范围内地级市的高质量发展水平进行系统测算与分析。
数据覆盖时间为2000年至2021年,包含多个关键变量,如:省份、地区、年份、高质量发展指数、产业结构高级化程度、产业结构合理化水平、生产性服务业占GDP比重、包容性TFP指数、创新指数、二氧化硫去除率、工业固废综合利用率、PM2.5浓度、人均GDP、人均教育支出以及人均医院床位数等,为区域经济研究提供了丰富的实证基础。
本数据体系的设计参考了赵涛、张智和梁上坤的研究成果,其论文《数字经济、创业活跃度与高质量发展——来自中国城市的经验证据》发表于《管理世界》2020年第36卷第10期,页码65-76,具有较强的学术支撑与理论依据。


雷达卡


京公网安备 11010802022788号







