新质生产力是当代先进生产力的重要体现,主要由技术革命性突破、生产要素的创新性配置以及产业的深度转型升级共同推动形成。其核心内涵在于劳动者、劳动资料与劳动对象之间优化组合所引发的质变,并以全要素生产率的提升作为关键衡量标志。该生产力模式具备高技术创新水平、强调创新驱动、覆盖新兴领域且资源配置高效等特征,在推动经济高质量发展、增强产业竞争力以及促进社会进步方面发挥着重要作用。
本数据集涵盖2011年至2023年间中国上市公司的企业级新质生产力相关指标,具有较强的时效性与研究价值。
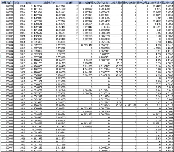
数据名称:上市公司-企业新质生产力数据大全
时间跨度:2011–2023年
包含的主要变量如下:
股票代码、年份、NPRO、新质生产力指数、E分数、数字化转型程度、无形资产占比、研发人员数量占比、绿色技术水平、绿色专利占比、研究生及以上学历员工占比、固定资产占比、董监高是否具有海外背景、资本积累率A、高管绿色认知水平、创新水平、行业代码、行业名称、所属省份、所属省份代码、所属城市、所属城市代码。
上述指标体系从多个维度刻画企业在新技术应用、人才结构优化、绿色可持续发展以及管理团队国际化等方面的综合表现,为深入分析企业层面的新质生产力演化路径提供了扎实的数据支持。


雷达卡


京公网安备 11010802022788号







