此次数据更新扩充到了1991 - 2023年,增量不加价。
文献参考- 《金融科技与企业全要素生产率...—“赋能”和信贷配给的视角》——宋敏
- 《政治关联和融资约束_信息效应与资源效应》——于蔚
利用上述两位文献作者的方法构建指标:
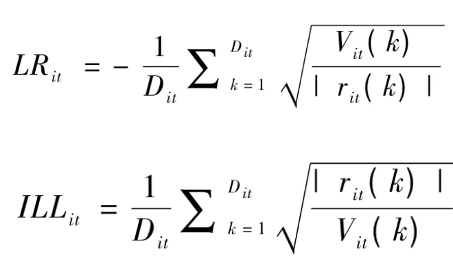
- 构建流动性比率指标LR。
- 再对LR、ILL、GAM进行主成分分析,构建信息不对称(ASY)。信息不对称程度越高,股票流动性越低,LR、ILL、GAM越大。其中lr,ill公式如下:(此处可补充具体公式内容,文本未完整给出)
方法相关图示数据样本展示
【2024年新版】A股上市企业信息不对称指数ASY数据与stata代码2023-1991
(76 Bytes, 需要: RMB 30 元)
数据样本图示数据量情况
数据量图示数据内容1991 - 2023年数据包含stata代码过程。
附件内容原始数据 + do代码 + 处理结果 + 文献


雷达卡




京公网安备 11010802022788号







