糟糕的程序员关心代码。优秀的程序员关注数据结构及其关系。
——Linus Torvalds
这句话道出了编程的本质。正因如此,几乎所有的技术公司在面试中都会重点考察候选人对数据结构的理解与应用能力,Android 开发岗位也不例外。无论是初级还是高级职位,掌握核心数据结构是通过技术考核的关键一步。
本文将系统梳理 Android 开发者在准备面试时必须掌握的核心数据结构类型。虽然计算机科学中的数据结构远不止这些,但我们聚焦于实际 Android 面试中最常见、最高频出现的内容。
什么是数据结构?
数据结构是一种组织、管理与存储数据的方式,旨在实现高效的数据访问和修改操作。
更精确地说,它是一组数据值、它们之间的逻辑关系,以及可施加于这些数据的操作集合。
举例来说,假设我们有如下信息:
- 姓名:“ABC” —— 属于字符串类型
- 年龄:25 —— 属于整数类型
我们可以将这两个字段组合成一个“用户”记录(record),这种结构化的表示方式即为一种简单的数据结构。随后,这类记录可以被批量存储在文件或数据库中,便于统一处理。
Android 面试中最常用的数据结构
以下是 Android 开发岗位面试中经常涉及的数据结构主题:
- 数组
- 链表
- 哈希表
- 堆
- 队列
- 树
- 图形
接下来我们将逐一深入分析每种结构的基本概念、操作及典型问题。
数组
数组是最基础且广泛使用的数据结构之一,用于存储相同类型的元素集合。其特点是所有元素在内存中连续存放,因此支持随机访问。
举个例子:若要保存10名学生的成绩,理论上可以声明10个独立的变量。但当数量扩大到1000人时,这种方式显然难以维护。而使用数组,则只需定义一个大小为1000的整型数组即可轻松应对。
注意:大多数编程语言采用从0开始的索引机制,即索引范围为 0 到 n-1,其中 n 表示数组长度。
通过索引可以直接访问任意位置的元素:
marks[0] // to access the 1st element i.e. element at index 0
marks[2] // to access the 3rd element i.e. element at index 2
marks[4] // to access the 5th element i.e. element at index 4
数组的基本操作包括:
- 插入:在指定索引处添加新元素
- 删除:移除某个位置上的元素
- 搜索:查找特定值是否存在
- 更新:修改某索引位置的元素值
- 遍历:顺序访问整个数组的所有元素
相关练习题推荐:
- 找出数组中的最大值与最小值
- 反转数组元素顺序
- 寻找数组中差值最小的两个元素
链表
链表也是一种线性结构,用于存储同类型数据,但它不同于数组的地方在于:元素在内存中不要求连续分布。每个数据单元被称为“节点”,由两部分组成:数据域和指针域。
其中,数据域保存实际数据,指针域则指向下一个节点的地址(如果存在)。
下图展示的是单向链表的结构:
图中,“Head”指向第一个节点,最后一个节点的指针为“Null”,表示链尾。
除了单向链表,还有双向链表(每个节点同时保存前驱和后继指针)以及循环链表(尾节点指向头节点)等变体。
链表的基本操作包括:
- 插入:可在链表头部、尾部或中间任意位置插入新节点
- 删除:移除头节点或链表中的某一节点
- 搜索:根据给定值查找对应节点
- 遍历:从头至尾访问每一个节点
典型练习题目:
- 反转链表中第 m 到第 n 个节点之间的部分
- 检测并移除链表中的环路
- 删除链表倒数第 n 个节点
- 从已排序链表中去除重复节点
哈希表
哈希表是一种以键值对(key-value pair)形式存储数据的结构。它的核心思想是通过哈希函数将输入数据映射为一个索引值,并据此决定数据的存储位置。
理想情况下,若输入数据分布均匀,哈希表能在 O(1) 时间复杂度内完成插入、删除和查找操作。
这个过程称为“哈希”。所依赖的函数即为“哈希函数”,它接收原始数据作为输入,输出对应的哈希码(key)。
例如,待存储的数据为:1, 2, 3, 4, 5, 26, 17,若使用的哈希函数如下所示:
hashFunction(k): k % 10
那么这些数值将依据哈希结果分布在哈希表的不同槽位中。
使用哈希表时需注意以下几点:
- 哈希函数应尽可能使生成的键均匀分布,避免聚集
- 哈希表的容量设计与哈希函数密切相关,需合理选择
- 当多个键映射到同一位置时会发生冲突,必须采用合适的解决策略(如链地址法或开放寻址法)
常见的哈希表类面试题:
- 求最长连续数字序列的长度
- 判断两个字符串是否互为字谜(anagram)
- 找出和为零的最长子数组
- 返回字符串中首个不重复字符的位置
堆
堆是一种特殊的树形数据结构,通常基于完全二叉树实现,满足“堆性质”:父节点的值总是大于等于(最大堆)或小于等于(最小堆)其子节点的值。
堆常用于优先队列、排序算法(如堆排序)、以及需要快速获取极值的场景。
由于其实现简单且效率较高,在 Android 性能优化、任务调度等模块中有潜在应用。
堆的基本操作包括:
- 插入新元素并维持堆序
- 提取堆顶元素(最大或最小)
- 调整堆结构以保持特性
典型问题方向:
- 利用堆实现 Top K 元素查找
- 合并多个有序数组
- 数据流中的中位数计算
队列
队列是一种遵循“先进先出”(FIFO)原则的线性结构。元素从尾部入队,从前端出队。
在 Android 中,Handler 消息机制背后的 MessageQueue 就是一个典型的队列应用场景。
基本操作:
- 入队(enqueue):在队尾添加元素
- 出队(dequeue):移除队首元素
- 查看队首元素(peek)
- 判断是否为空
常见变体:双端队列(Deque)、循环队列
树
树是非线性数据结构,由节点组成,具有层次关系。最常见的形式是二叉树,每个节点最多有两个子节点。
在 Android 中,视图层级(View Hierarchy)本质上就是一棵树结构。
重要类型:
- 二叉搜索树(BST):左子树节点值小于根,右子树大于根
- 平衡二叉树(如 AVL 树、红黑树):自动维持高度平衡
- 堆也是一种特殊的二叉树
常见操作:遍历(前序、中序、后序、层序)、插入、删除、查找
图形
图由节点(顶点)和边组成,用于表示对象之间的复杂关系。它可以是有向的或无向的,带权或不带权。
虽然在 Android 应用层直接使用较少,但在算法题中频繁出现,尤其是在路径规划、依赖解析等问题中。
常见表示方法:邻接矩阵、邻接表
典型算法:深度优先搜索(DFS)、广度优先搜索(BFS)、最短路径(Dijkstra)、拓扑排序
掌握以上七大数据结构及其典型操作,不仅能帮助你在 Android 技术面试中脱颖而出,更能提升你在实际开发中设计高效解决方案的能力。
堆栈是一种遵循后进先出(LIFO)原则的线性数据结构,意味着最后被添加到堆栈中的元素将最先被移除。举个例子:当你将书一本一本地叠放起来,总共放了50本,那么取书的时候会从最上面那本开始拿。显然,最上面的这本书正是最近才被放置上去的。
在堆栈中,存在一个名为“Top”的变量,用于标识当前堆栈的顶部位置。这个变量至关重要,因为所有对堆栈的操作都是基于它来完成的。
以下是一个堆栈的示意图:
若要从上述堆栈中删除元素,则首先移除的是数字5,接着是4、3、2,最后是1。
堆栈常见的基本操作包括:
- Push():用于向堆栈顶部插入一个新的元素。
- Pop():用于从堆栈顶部移除一个元素。
- Top:表示当前堆栈顶部所存储的元素值。
与堆栈相关的一些典型问题可以尝试解决:
- 判断表达式中的括号是否平衡
- 利用递归实现堆栈反转
- 使用堆栈模拟队列行为
- 借助另一个堆栈对现有堆栈进行排序
队列则是采用先进先出(FIFO)机制的线性数据结构,即最早进入队列的元素将最先被取出。例如,在购票排队场景中,先到达的人优先购票,而后来者必须排在队伍末尾。
在队列结构中,有两个关键指针:“Front”和“Rear”。Front 指向队列的第一个元素,而 Rear 则指向最后一个元素的位置。
下面展示一个队列的示例:
如果需要从该队列中删除元素,则顺序为:先删除1,然后依次删除2、3、4和5。
同样地,若要在该队列中新增一个元素,新元素将被添加至 Rear 端,而非 Front 端。
队列的基本操作有:
- Enqueue():在队列尾部插入一个元素。
- Dequeue():从队列头部移除一个元素。
- Front:获取队列头部的元素。
- Rear:获取队列尾部的元素。
与队列相关的常见练习题包括:
- 使用两个堆栈实现队列功能
- 反转队列中前k个元素
- 实现LRU缓存机制
树是一种非线性的层次化数据结构,以节点形式组织数据,并通过边连接各个节点。每个父节点可以拥有零个、一个或多个子节点,但每个子节点只能隶属于一个父节点。
以下是一个简单的树结构图示:
一些与树相关的术语如下:
- 根:位于树最顶端的节点,每棵树仅有一个根节点。
- 父节点:任何至少拥有一个子节点的节点都称为父节点。
- 子节点:位于某父节点之下的节点被称为其子节点。
- 叶:没有子节点的节点称为叶子节点或终端节点。
常见的树类型包括:
- 一般树
- 二叉树
- 二叉搜索树(BST)
- AVL 树
- 红黑树
- N叉树
与树有关的一些经典问题可尝试解决:
- 计算二叉树的高度
- 查找二叉树中距离为K的所有节点
- 在二叉搜索树中寻找第K大的元素
- 合并两棵二叉搜索树
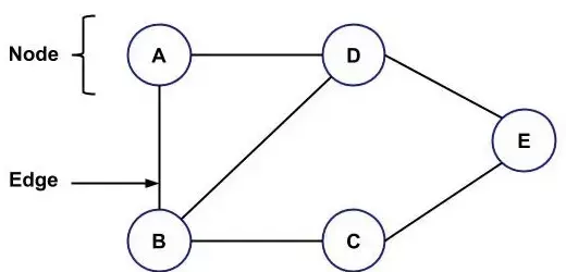
图与树类似,也是一种非线性数据结构,用于以节点形式存储信息,并通过边连接各节点。两者的主要区别在于:图中允许存在环路,而树则不允许有任何环。
图由有限数量的节点和连接这些节点的边组成。
以下是一个图的示例:
图的常见类型包括:
- 有向图:边带有方向性,通常用箭头表示从一个节点指向另一个节点。
- 无向图:节点之间的边没有方向,上图即为一个无向图的例子。
常用的图遍历方法有:
- 深度优先搜索(DFS)
- 广度优先搜索(BFS)
与图相关的典型问题包括:
- 字梯问题(Word Ladder)
- 棋盘上的骑士移动路径
- 计算岛屿数量
- 根据给定约束检测数组中是否存在环
若希望未来成长为系统架构师,或突破月薪20~30K的职业瓶颈,就不能仅仅局限于编码和业务逻辑的实现,还需掌握技术选型、系统扩展能力,并不断提升自身的编程思维水平。同时,制定清晰的职业发展规划十分必要,养成持续学习的习惯也很重要,但最为关键的是——持之以恒。任何缺乏坚持的计划最终都只是空谈。
Android八大模块进阶学习内容
一、架构师筑基语言基础
核心知识点涵盖:Java泛型的深入理解、注解原理剖析、并发编程机制、数据传输与序列化技术、Java虚拟机工作原理、高效IO编程等。
二、Android高级UI开源框架进阶解密
主要内容包括:SmartTable 使用详解、TextSurface 源码分析、FloatWindow 实现原理、RippleEffect 应用指南等。
三、Android Framework 开发揭秘
涉及知识要点:系统启动流程深度解析、Binder 机制剖析、Handler 工作原理、AMS 与 WMS 模块解读、Android 10.0 源码研究等内容。
四、Android性能优化—实战解析
性能优化是衡量高级 Android 工程师技术能力的关键指标之一,尤其在大型互联网企业中备受重视。即便是微小的 0.1% 性能缺陷,也可能对百万甚至千万级别的用户造成显著影响,因此优化工作不容忽视。
五、音视频精编源码解析
本模块涵盖多个核心开源项目的源码剖析,帮助开发者深入理解底层实现机制。主要内容包括:WebRTC Native 源码导读、X264 编码库源码解读、FFmpeg 多媒体处理框架分析、ijkplayer 播放器源码研究系列、jsmpeg 基于 JavaScript 的视频解码实现解析、Live555 流媒体服务器源码详解,以及 Opus 音频编码库的源码探究。
六、Flutter 学习进阶
针对希望掌握跨平台开发技能的开发者,本部分系统讲解 Flutter 开发的核心知识体系。内容涵盖:Flutter 跨平台开发概览、在 Windows 环境下搭建完整的开发工具链、动手编写第一个 Flutter 应用程序,以及 Dart 语言的基础与进阶语法入门。
七、微信小程序开发
本章节聚焦于微信小程序的全流程开发实践,适合初学者快速上手并具备项目实战能力。知识点包括:小程序基本概念与开发环境配置、界面 UI 构建方法、常用 API 的调用与操作技巧,以及通过一个完整的购物商场项目进行综合应用训练。
八、百大框架源码解读
深入剖析 Android 开发生态中广泛应用的主流开源框架,提升架构理解与代码设计能力。涵盖内容有:微信 MMKV 键值存储库源码解析、AsyncTask 异步任务机制源码解读、Volley 网络请求框架源码分析、Retrofit 类型安全的 HTTP 客户端源码研究、OkHttp 底层网络通信实现原理等关键模块。
全套学习视频资源分类如下:
一、面试专题合集
二、源码解析专题合集
三、开源框架专题合集



雷达卡


京公网安备 11010802022788号







