功效分析
功效分析可以帮助在给定置信度的情况下,判断检测到给定效应值时所需的样本量。反过来,它也可以帮助你在给定置信度水平情况下,计算在某样本量内能检测到给定效应值的概率。如果概率低得难以接受,修改或者放弃这个实验将是一个明智的选择。
10.1假设检验速览
在研究过程时,研究者通常关注四个量:样本大小、显著性水平、功效和效应值。样本大小指的是实验设计中每种条件/组中观测的数目。显著性水平(也称为alpha)由I型错误的概率来定义。也可以把它看做是发现效应不发生的概率。功效通过1减去II型错误的概率来定义。我们可以把它看做是真实效应发生的概率。效应值指的是在备择或研究假设下效应的量。效应值的表达式依赖于假设检验中使用的统计方法。

10.2 用pwr 包做功效分析
函 数 功效计算的对象 |
pwr.2p.test() 两比例(n相等) |
pwr.2p2n.test() 两比例(n不相等) |
pwr.anova.test() 平衡的单因素ANOVA |
pwr.chisq.test() 卡方检验 |
pwr.f2.test() 广义线性模型 |
pwr.p.test() 比例(单样本) |
pwr.r.test() 相关系数 |
pwr.t.test() t检验(单样本、两样本、配对) |
pwr.t2n.test() t检验(n不相等的两样本) |
10.2.1 t 检验
对于t检验,pwr.t.test()函数提供了许多有用的功效分析选项,格式为:
function (n = NULL, d = NULL, sig.level = 0.05, power = NULL,
type = c("two.sample","one.sample", "paired"), alternative =c("two.sided", "less", "greater"))
n为样本大小。
d为效应值,即标准化的均值之差。d =(m1-m2)/s
sig.level表示显著性水平(默认为0.05)。
power为功效水平。
type指检验类型:双样本t检验(two.sample)、单样本t检验(one.sample)或相依样本t检验(paired)。默认为双样本t检验。
alternative指统计检验是双侧检验(two.sided)还是单侧检验(less或greater)。默认为双侧检验。
>library(pwr)
>pwr.t.test(d=.8,sig.level=.05,power=.9,type="two.sample",alternative="two.sided")
Two-samplet test power calculation
n =33.82554
d =0.8
sig.level =0.05
power=0.9
alternative = two.sided
NOTE: n is number in*each* group
10.2.2 方差分析
pwr.anova.test()函数可以对平衡单因素方差分析进行功效分析。格式为:
function (k = NULL, n = NULL, f = NULL, sig.level =0.05, power = NULL)其中,k是组的个数,n是各组中的样本大小
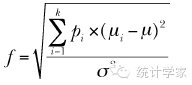
对于单因素方差分析,效应值可通过f来衡量:

其中,pi = ni/N,
ni = 组i的观测数目
N = 总观测数目
μi
= 组i均值
μ= 总体均值
σ2 = 组内误差方差
> pwr.anova.test(k=5,f=.25,sig.level=.05,power=.8)
Balancedone-way analysis of variance power calculation
k= 5 #结果表明,总样本大小为5 × 39,即195
n= 39.1534
f= 0.25
sig.level= 0.05
power= 0.8
NOTE: n is number in each group
10.2.3 相关性
pwr.r.test()函数可以对相关性分析进行功效分析
function (n = NULL, r = NULL, sig.level = 0.05, power = NULL, alternative = c("two.sided", "less", "greater"))n是观测数目,r是效应值(通过线性相关系数衡量),sig.level是显著性水平,power是功
效水平,alternative指定显著性检验是双边检验(tow.sided)还是单边检验(less或greater)。>pwr.r.test(r=.25,sig.level=.05,power=.90,alternative="greater")
approximate correlation power calculation (arctangh transformation)
n= 133.2803
r= 0.25
sig.level= 0.05
power= 0.9
alternative= greater
10.2.4 线性模型
对于线性模型(比如多元回归),pwr.f2.test()函数可以完成相应的功效分析,格式为:
function (u = NULL, v = NULL, f2 = NULL, sig.level = 0.05, power = NULL) ,u和v分别是分子自由度和分母自由度,f2是效应值。
当要评价一组预测变量对结果的影响程度时,适宜用第一个公式来计算f2;当要评价一组预测变量对结果的影响超过第二组变量(协变量)多少时,适宜用第二个公式。
> pwr.f2.test(u=3,f2=.0769,sig.level=.05,power=.90) Multiple regression power calculation u = 3 v = 184.2426 f2 = 0.0769 sig.level = 0.05 power = 0.9在多元回归中,分母的自由度等于N - k - 1,N是总观测数,k是预测变量数。本例中,N - 7
- 1 = 185,即需要样本大小N = 185 + 7 + 1 = 193。
10.2.5 比例检验
当比较两个比例时,可使用pwr.2p.test()函数进行功效分析。格式为:
function (h = NULL, n = NULL, sig.level = 0.05, power = NULL, alternative = c("two.sided", "less", "greater"))其中,h是效应值,n是各组相同的样本量。效应值h定义如下:

可用ES.h(p1, p2)函数进行计算。
当各组中n不相同时,则使用函数:
function (h = NULL, n1 = NULL, n2 = NULL, sig.level = 0.05, power = NULL, alternative = c("two.sided", "less", "greater")) > pwr.2p.test(h=ES.h(.65,.6),sig.level=.05,power=.9,alternative="greater") Difference of proportion power calculation for binomial distribution (arcsine transformation) h = 0.1033347 n = 1604.007 sig.level = 0.05 power = 0.9 alternative = greaterNOTE: same sample sizes


雷达卡




京公网安备 11010802022788号







