有效利率是指什么_有效利率的计算方法
有效利率是指什么
有效利率是指能够真实反映全部中长期贷款成本的年费用率。
有效利率的计算方法
有效利率有两种计算方法。
1.近似计算法
近似计算法是通过把各项费用或费用率折成实际年率,并将它们与利率加总求和,以求出有效利率的计算方法。它未能准确反映货币的时间价值,故称近似计算法。‘’
在一般情况下,利息总是针对实际动用的贷款余额而征收的,故利率无需再做折算。其他各项费用或费用率则需要折算成实际年率,这是因为贷款总金额可能是逐步提取并逐步偿还的。其他各项费用可以分为两类:一次性支付的费用和每年均需支付的费用。
一次性费用的实际年率=一次性费用÷(贷款总金额×实际贷款年限)
每年支付的费用的实际年率=(每年支付的费用×贷款年限)÷(贷款总金额×实际贷款年限)
有效利率=一次性费用的实际年率+每年支付的费用的实际年率+利率
例:已知:一笔为期7年的l亿美元贷款,年利率10%。协议规定宽限期为3年,偿付期为4年,分4次等额还本。该借款人在签约后立即一次性提款,无需支付承担费。他需要按贷款额的0.5%一次性支付管理费,每年还需支计其他费用5万美元。求有效利率。
解:在此例中,实际贷款期为5.5年。
(O.5%×1亿)十(1亿×5.5)≈0.091%
一次性支付的管理费的实际年费用率为0.091%。
(5万×7)十(1亿×5.5)≈0.064%
每年支什的其他费用的实际年费用率为0.064%。
0.091%+0.064%+10%=10.155%
有效利率为10.155%。
2.精确计算法
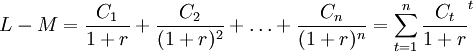
考虑到货币的时间价值,计算有效利率要使用下面的公式:
![]()
式中,L为贷款额现值,M为一次性支付的费用,n为付息次数,C1、C2、C3。分别为第一次、第二次、第n次还本付息和支付其他费用的金额,r为有效利率。
例:已知条件同上例,求按精确计算法得出的有效利率。
解:L=1亿美元
M=0.5%×1亿=0.005亿美元
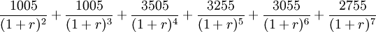
C1 = C2 = C3=1亿×10%+5万=1005万美元
C4=2500万+l亿×10%+5万=3505万美元
C5=2500万+0.75亿×10%+5万=3255万美元
C6=2500万+0.5亿×10%+5万=3005万美元
C7=2500万+0.25亿×10%+5万=2755万美元
将这些数据代入有效利率的精确计算公式:
10000万-50万=![]()
注释单位是(万)
r=10.19%
按精确计算法,有效利率为10.19%。它不仅反映出贷款中的其他费用,而且反映出货币的时间价值。从严格的意义上,只有它才是真实反映全部贷款成本的有效利率。


雷达卡





京公网安备 11010802022788号







