
hello大家好,我是写BUG的一行,矩阵相信大家都已经不陌生了,在高中的时候已经接触过了,在后来大学学习线性代数时就已经逼近全面的进行了解了,矩阵运算在科学计算中是非常中要的,而矩阵的基本运算包括矩阵的加法、减法、数乘、转置、共轭和共轭转置,在我们进行建模分析时也会牵扯到一些线性代数和矩阵,今天我们对矩阵的原理做一下详细的指南。
目录矩阵与矩阵基础运算矩阵矩阵在数学中国是一个长方阵列排列出来的复数或实数的集合,是一种表示数据在矩阵中的方法,一个m*n的矩阵有m行和n列,其中每一项基于它的行和列都有它唯一的名字。

矩阵A通常表示为[A],行数和列数称为维数。下面是一个3*2维矩阵的例子。

在矩阵A中,数字a12是第一行和第二列的数字。因此,a12 = 8。a21是第二行第一列的数字。因此a21 = -5。
- a11 = 2
- a12 = 8
- a21 = -5
- a22 = 32
- a31 = 0
- a32 = 8

比如:

矩阵加法是可以进行交换的:A+B = B+A。矩阵加法也是可以进行结合的:(A+B)+C = A+(B+C)
矩阵减法矩阵之间如果要进行相减,要从一个矩阵中减去另一个矩阵中它们相对应的项,两个矩阵必须具有相同的行数和相同的列数才可以进行运算。

比如:

矩阵的复杂运算标量乘法如果要将矩阵乘以标量(也就是单个常数,变量或表达式),就需要将矩阵中所有的项乘以标量:

例如:

标量乘法是分配的:±(A+B)=±A+±B,例如:

两个矩阵之间相乘如果要将两个矩阵相乘,我们首先必须知道如何将一个行(1*p矩阵)乘以一个列(一个p*1矩阵)。如果要将行乘以列,必须将行的第一个元素乘以列的第一个元素,然后将行的第二个元素乘以列的第二个元素,以此类推,最终将所有的结果进行相加。最终的答案也应该是一个单一的数字。例如

当行和列的元素相同时,行可以乘以列。相同的,当第一个矩阵与第二个矩阵的行数相同时,两个矩阵也是可以进行相乘的。简单的来说,两个矩阵的维度位m*p和P*n的时候,它们是可以进行相乘的。它们最终的答案呢,矩阵的行数与第一个矩阵的函数相同,矩阵的列与第二个矩阵的列数相同。换句话说最终的答案的矩阵的维度是m*n。
当两个矩阵相乘时,第一个矩阵的每一个行乘以第二个矩阵的每一列。将答案矩阵的第一行与第一列相乘的结果放在第一行和第一列中。将第一行乘以第二列的结果放到答案矩阵的第一行和第二列中。一般来说将第i行与第j列相乘的结果放在答案矩阵中的第i行和第j列中。
下面我们对两个矩阵相乘的例子:

最终的答案矩阵应该为2行*4列的矩阵,下面是答案矩阵中的每一个元素的计算过程。
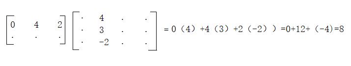
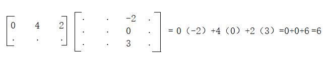
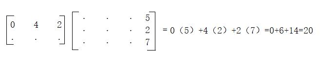
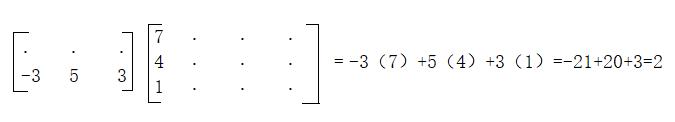
答案矩阵中的第一行第一列(第一个矩阵第一行*第二个矩阵第一列):

答案矩阵中的第一行第二列(第一个矩阵第一行*第二个矩阵第二列):

答案矩阵中的第一行第三列(第一个矩阵第一行*第二个矩阵第三列):

答案矩阵的第一行第四列(第一个矩阵第一行*第二个矩阵第四列):

答案矩阵中的第二行第一列(第一个矩阵第二行*第二个矩阵第一列):

依次类推,最终的答案矩阵如下:

需要注意的是,2*3的矩阵乘以3*4的矩阵最终的答案矩阵是2*4的矩阵。矩阵的惩罚不一定是可以进行交换的,AB=BA并不一定总是正确的,但是矩阵乘法是可以进行相关联的:AB(C)=A(BC)
以上就是矩阵原理的相关指南,对于学习过矩阵但是已经忘记矩阵相关知识的希望可以帮你恢复有关矩阵的知识,而对于没有接触过矩阵的来说希望可以帮助你理解矩阵究竟是什么样子的,不要被数学中的名词吓到,慢慢的学习,最终会搞明白的。


雷达卡


京公网安备 11010802022788号







