名义年利率与实际年利率
到目前为止,我们都假定复利计息和折现都是以年为单位进行。然而在现实中,复利计息会在一年之中发生多次。比如,假如一个银行声明付给储户10%的年利率,每半年复利计息。这就涉及名义年利率与实际年利率的问题。
1.定义
①名义年利率
名义年利率(APR)是指不考虑年内复利计息次数的利率。名义利率只有在给出计息间隔期的情况下才是有意义的,因为即使给出的名义利率相同,一年计息两次与一年计息四次结果显然是有差别的。
②实际年利率
实际年利率(EAR)是指不需要给出复利计息间隔期的利率。例如,若实际利率为10.25%,就意味着1美元的投资在一年后就可变成1.102 5美元。你可以认为这是名义利率为10%、半年复利计息,或是名义利率为10.25%、年复利计息,亦或是其他的复利计息方式所得来的。
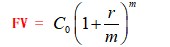
2.计算公式
①一年中一项投资每年按复利计息m次的年末终值为:
式中,C0 是投资者的初始投资,r是名义年利率,m为每年的计息次数。
比如,投资1 000美元,以10%的年利率每季按复利计息,代入该公式,一年末的终值为1103.81美元。
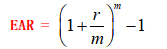
②实际年利率的计算公式
式中,r是名义年利率,m为每年的计息次数。
比如,名义年利率是8%,每季按复利计息,代入上述公式,那么实际年利率是8.24%。


雷达卡


京公网安备 11010802022788号







