方法二
1.计算说明
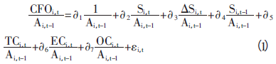
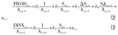
首先,通过分年度和行业的回归估算出正常的经营现金净流量、生产成本和费用支出,模型如下:


(1)~(3)式中,
CFOi,t表示第t期的经营活动现金净流量;
Ai,t-1为第t-1期期末总资产;
Si,t表示第t期销售收入;
△Si,t表示第t期的销售收入相比第t-1期的销售收入变动额;
△Si,t-1表示第t-1期的销售收入相比第t-2期的销售收入变动额;
TCi,t表示第t期的各项税费开支;
ECi,t为第t期支付给职工以及为职工支付的现金;
OCi,t为第t期其他与经营活动有关的现金:
DISXi,t表示第t期的可操控性费用,为销售费用与管理费用的总和;
PRODi,t为第t期的生产成本,是当期营业成本及存货变动额的总和。
然后,用公司的实际值减预期值,差额即为异常值(即残差),分别表示为AbCFO(对应公式(1))、AbPROD(对应公式(2))和AbDISEXP(对应公式(3))。
设计总体指标REM来表示真实盈余管理的总和:
REM1=AbPRODit+(-1)×AbCFOit+(-1)×AbDISEXPit
AbsREM1=REM1取绝对值
该指标的绝对值(AbsREM1越大,代表真实盈余管理程度越高,反之越低。)
REM2=AbPRODit+AbCFOit+AbDISEXPit
AbsREM2=REM2取绝对值
2.数据说明
样本选择:全部A股1998-2023年数据(“经营活动产生的现金流量净额”数据是从1998年开始,所以数据起点选择为1998年)
与大多数文献相同,做了如下的处理:剔除金融行业的样本;剔除当年年末被ST、*ST或PT的上市公司;剔除公司上市之前的样本;剔除已经退市的上市公司样本;剔除有缺失值的公司样本;剔除同行业中少于10家样本的企业,数值可根据参考文献自行调整
注:提供了剔除所需数据和剔除代码,若无需做该项剔除处理,自行删除相关代码重新运行即可
行业参照证监会2012年行业分类标准,制造业用二级行业分类,其他用一级分类来计算
分年度分行业进行回归
并对连续型变量进行了1%和99%分位数的缩尾处理
每个压缩包都附有初始数据,计算代码,参考文献和最终数据
3.参考文献
[1]侯晓红,姜蕴芝.不同公司治理强度下的股权激励与真实盈余管理——兼论市场化进程的保护作用[J].经济与管理,2015,29(01):66-73.(REM1、REM2)
[2]曹国华,鲍学欣,王鹏.审计行为能够抑制真实盈余管理吗?[J].审计与经济研究,2014,29(01):30-38.(AbsREM2)
[3]杨俊杰,曹国华.CEO声誉、盈余管理与投资效率[J].软科学,2016,30(11):71-75.(AbsREM1)
压缩包所含文件:
数据样例:
分年份数据量统计:
缩尾后的描述性统计结果:
2023真实盈余管理方法二.rar
(22.63 MB, 需要: RMB 39 元)


雷达卡




京公网安备 11010802022788号







