方法一
1.计算说明
真实盈余管理包括销售操控(如提供异常的价格折扣或放宽信用条件)、生产操控(过度生产)和费用操控
(削减当期合理的费用支出)。
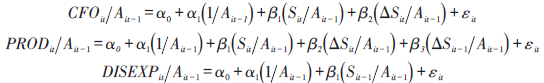
借鉴Roychowdhury(2006)的方法,首先通过对真实盈余管理的度量模型分年度分行业估计公司的正常经营现金净流量、正常生产成本、正常酌量性费用;
然后分别用公司当年实际经营现金净流量、实际生产成本和实际酌量性费用减去估计出的正常值,由此得到异常经营现金净流量(AbCFO)、异常生产成本(AbPROD)和异常酌量性费用(AbDISEXP)。正常值估计模型如下:

其中,
△Sit-1是公司i第t-1年的营业收入变化,它等于第t-1年营业收入Sit-1与第t-2年营业收入Sit-2的差额。
分年度分行业对上述模型进行估计,其残差分别为当年的异常经营现金净流量(AbCFO)、异常生产成本(AbPROD)和异常酌量性费用(AbDISEXP)。
真实盈余管理会导致当年异常低的经营现金净流量、异常低的酌量性费用和异常高的生产成本。考虑到公司可能同时使用这3种手段,因而设定度量真实盈余管理的总量指标如下所示,REM的正负代表盈余操控的方向。
REM1=AbPRODit+(-1)×AbCFOit+(-1)×AbDISEXPit
AbsREM1=REM1取绝对值
REM2=AbPRODit+AbCFOit+AbDISEXPit
AbsREM2=REM2取绝对值
2.数据说明
样本选择:全部A股1998-2023年数据(“经营活动产生的现金流量净额”数据是从1998年开始,所以数据起点选择为1998年)
与大多数文献相同,做了如下的处理:剔除金融行业的样本;剔除当年年末被ST、*ST或PT的上市公司;剔除公司上市之前的样本;剔除已经退市的上市公司样本;剔除有缺失值的公司样本;剔除同行业中少于10家样本的企业,数值可根据参考文献自行调整
注:提供了剔除所需数据和剔除代码,若无需做该项剔除处理,自行删除相关代码重新运行即可
行业参照证监会2012年行业分类标准,制造业用二级行业分类,其他用一级分类来计算
分年度分行业进行回归
并对连续型变量进行了1%和99%分位数的缩尾处理
每个压缩包都附有初始数据,计算代码,参考文献和最终数据
3.参考文献
[1]柳光强,王迪.政府会计监督如何影响盈余管理——基于财政部会计信息质量随机检查的准自然实验[J].管理世界,2021,37(05):157-169+12.(REM1)
[2]范经华,张雅曼,刘启亮.内部控制、审计师行业专长、应计与真实盈余管理[J].会计研究,2013(04):81-88+96.(REM2、REM1)
[3]方红星,金玉娜.高质量内部控制能抑制盈余管理吗?——基于自愿性内部控制鉴证报告的经验研究[J].会计研究,2011(08):53-60+96.(REM1)
[4]彭雅哲,汪昌云.资本市场开放与企业真实盈余管理——基于“陆港通”的经验证据[J].经济管理,2022,44(01):176-191.(REM1取绝对值)
压缩包所含文件:
数据样例:
分年份数据量统计:
缩尾后的描述性统计结果:
2023真实盈余管理方法一.rar
(22.52 MB, 需要: RMB 39 元)
本附件包括:- 初始数据.xlsx
- 计算结果.xlsx
- 初始数据.dta
- 计算结果.dta
- 计算代码.do
- 高管股权激励、盈余管理与审...—基于盈余管理异质性的视角_邵剑兵.pdf
- 高质量内部控制能抑制盈余管...内部控制鉴证报告的经验研究_方红星.pdf
- 内部控制、审计师行业专长、应计与真实盈余管理_范经华.pdf
- 政府会计监督如何影响盈余管...息质量随机检查的准自然实验_柳光强.pdf
- 资本市场开放与企业真实盈余...—基于“陆港通”的经验证据_彭雅哲.pdf


雷达卡




京公网安备 11010802022788号







