[1]数据简介技术创新包括:研发投入强度(规模以上工业企业R&D经费支出/规模以上工业企业主营业务收入)、人均发明专利数(发明专利数量/规模以上工业企业)、研发人员投入力度( R&D人员数规模以上工业企业R&D人员数/制造业从业人数)绿色发展包括:单位增加值能源消耗量(煤炭实物消耗量/工业增加值)、单位增加值二氧化硫排放量(二氧化硫排放量/工业增加值)、单位增加值工业固体废物产生量(工业固体废物综合利用量/工业增加值)、单位增加值废水化学含氧量(废水化学含氧量/工业增加值)开放程度包括:外贸开放度(货物进出口总额/GDP)、外资开放度(外商直接投资额/GDP)经济效益包括:制造业增长速度(本年工业增加值/上一年工业增加值)、制造业企业利润率(规模以上工业企业利润总额/规模以上工业企业主营业务成本)、制造业劳动生产效率(工业增加值/制造业平均用工人数)产业协调包括:制造业产值比重(工业增加值/GDP)、制造业产业结构高级化(高技术产业营业收入/规模以上工业营业收入)、第三产业增加值占比(第三产业增加值/第二产业增加值)[2]数据指标省、GDP、工业增加值(亿元)、工业增长率、年份、工业废物综合利用量(万吨)、化学需氧量、二氧化硫、煤炭消耗量、利润总额、主营业务成本、制造业高质量发展水平

[3]参考文献李炎亭,李柯.数字金融与制造业高质量发展:理论分析与实证检验[J].兰州大学学报(社会科学版),2023,51(05):60-74.



二、1990-2023年A股上市公司制造业数据大全

制造业企业是指从事原材料加工和制成品生产的公司,包括汽车、电子、机械、化工、食品加工等。它们通过将原材料转化为半成品或成品,推动经济增长和技术进步。制造业在促进就业、推动工业化进程和提高国际竞争力方面发挥着关键作用,是经济发展的重要支柱该数据包括上市公司制造业的基本信息、财务指标、环境、社会与治理、数字化转型、企业发展、全要素生产率等指标。一、数据介绍数据名称:上市公司-制造业数据大全数据范围:A股制造业上市公司数据年份:1990-2023年指标数目:1400+个指标数据样本:5w+条数据来源:各上市公司年报具体指标类别:


三、数字经济指数与制造业相关数据集

数字经济指数通过构建指标体系由熵值法测量,制造业数据是A股制造业上市公司数据,并测算全要素生产率。
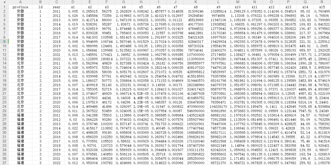
【部分数据预览】



【数据引用格式】田中景. 数字经济指数与制造业数据[DS/OL]. V1. Science Data Bank, 2023[2023-07-23]. https://cstr.cn/31253.11.sciencedb.08088. CSTR:31253.11.sciencedb.08088.田中景. 数字经济指数与制造业数据[DS/OL]. V1. Science Data Bank, 2023[2023-07-23]. https://doi.org/10.57760/sciencedb.08088. DOI:10.57760/sciencedb.08088.
【数据】制造业数据合集1.0(三份)
(76 Bytes, 需要: RMB 42 元)


雷达卡



京公网安备 11010802022788号







