什么是实验的异质性
1. 如何理解实验结果中的指标变化
当我们观察到如下试金石实验指标结果时
在进行解析之前,可能我们的第一反应是这样的
经过异质性分析后,可能会揭示实际情况是这样的
2. 概念解析与定义
实验的异质性通常称为HTE(即Heterogeneous Treatment Effects),意指实验中同一个治疗对不同的样本可能产生不同效果。此外,还有一些重要的概念需要了解:| 英文简称 | 英文全称 | 中文译名 | 含义 | 公式 |
|---|---|---|---|---|
| ATE | Average Treatment Effect | 平均处理效应 | 所有实验对象的平均效果 | ATE=E[Y(1)-Y(0)] |
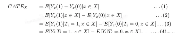
| CATE | Conditional Average Treatment Effect | 条件平均处理效应 | 满足特定条件的实验对象的平均效果 | CATEX=E[Yx(1)-Yx(0) | x∈X] |
| ITE | Individual Treatment Effect | 个体处理效应 | 某个实验对象的效果 | ITEi=E[Yi(1)-Yi(0)], i=1,2,…N |
3. 异质性分析对于业务的意义
- 了解策略对不同用户的不同效果,协助挖掘背后的业务逻辑,辅助迭代和进行新一轮的实验。
- 尝试寻找策略最优子人群,让整体无效的策略有机会部分先行推广;反之亦然,减少部分负面策略的影响。
- 对实验结果建模后预测,为线上提供动态的最优人群支持。
异质性分析方法概述
1. 异质性分析的维度选择
对于分流单元的维度X,当X满足以下条件时,可以作为异质性的维度进行后续分析 ? T⊥X ,即 分析维度与实验分流无关(无混淆性) ?常见的简化方式:对于一个分流ID,选取他在首次进入实验前一天的标签值。简单推导:
异质性分析的维度分析bad case举例
假设我们需要分析的实验策略为:根据用户的活跃度标签,低、中、高频用户的不同优惠券策略分别进行了新/老策略迭代。| 分析目标 & 常见错误方法举例 | 不成立原因简述 | 推荐的实验分析方式 |
|---|---|---|
| 不同活跃度人群的策略效果 在实验运行7天后,利用实验用户在第7天的活跃度标签进行结果拆解。 | 在实验开始后,用户的活跃度标签受到了策略影响,即T⊥X不成立。 | 使用用户进入实验前1天的活跃度标签值分别分析低频、中频、高频策略对于相应用户的策略效果。 |
| 按天取每天用户的活跃度标签,对实验结果进行拆解。 | 用户的活跃度标签受到了策略影响,即T⊥X不成立。用户所在分组应该是固定的,不应随时间改变。 | 分别建立3个人群正交实验,分析高单价类目商品(如3C家电)和低单价类目商品(如休闲食品)的转化率差异。 |
2. 异质性分析的方法选择
| 研究对象 | 研究方法 | 适用场景 | 优缺点 |
|---|---|---|---|
| CATE | 维度下钻 | 低维,分析目标明确 | + 快速简单,便于理解 + 产品化容易 - 维度选择依赖分析师经验 - 交互效应处理困难 |
| 方差分析(ANOVA,ANCOVA) | 低维,分析目标较明确,交互效应评估 | + 解释性强,统计学理论背书 + 可处理低维度交互效应 + 可作为特征选择的候选方法 - 基于线性模型假设 - 高维度交互效应解读困难 | |
| 因果树(Causal Tree) | 高维,分析目标不明确,希望探索 | + 模型符合分析直觉 - 复杂度不足,难以准确描述现实世界效果 - 为现代机器学习因果算法的基石之一,有更优替代方案 | |
| ITE | Meta-Learner | 高维,希望输出ITE,算法训练 | + 适用于复杂场景 - 需要大量数据和计算资源 |
+ 算法常用于大规模并行计算,有工程化先例 + 在过去的模拟中X-learner对ITE估计的精确度表现优异 + X-learner通常使用xgboost模型,具备较强的数据特征处理能力 - 计算量大,耗费资源 - 需要调整参数 - 由于缺乏统计推断结果,通常不直接生成p-value,存在对ITE数值准确性的质疑,算法主要利用结果的排名
DML
- 高维
- 期望输出ITE和置信区间
+ 有严谨的统计理论证明了ITE估计的无偏有效性,可以生成样本级别的ITE及置信区间 + 在过去的模拟中Causal Forest DML对ITE估计的精确度表现优异 + DML模型框架本身具备一定的稳健性,在结合Forest模型后,调参需求低,不易过拟合,对各种特征有较强的处理能力 - 慢,耗资源,工程化先例少
ITE + CATE hybrid
ITE Model + Decision Tree Interpreter
- 高维
- 分析目标不明确,希望探索
+ 决策树的建模方法符合分析直觉 + ITE模型可以较好地对复杂的现实世界进行概括 - ITE模型可能会较慢
CATE、ITE建模方法的具体细节可参考附录
CATE下钻探索工具MVP版逻辑介绍
项目地址:
http://xingyun.jd.com/codingRoot/abtest_ds/CATE_model
模型逻辑:多维度的维度下钻 + Decision Tree Interpreter
快速开始:
from CATE_model.utils.workflow import CateWorkFlow
yaml_path = 'config.yaml' # 按分析要求配置YAML文件
cate_workflow = CateWorkFlow(yaml_path) # 初始化CATE对象
cate_workflow.prepare_analysis() # 初始化ABTestAnalyzer
cate_workflow.execute_cate_auto() # 自动执行所有环节
cate_workflow.df_out.styler # 输出CATE差异最大子人群目标指标统计
项目基本流程

YAML配置方法:第一次可以先根据项目示例修改,并参考
YAML配置说明.md
项目MVP功能说明
- 通过填写YAML配置,自动生成实验分析SQL并执行取数,目前包括
- 自动获取试金石实验分流信息
- 自动获取试金石实验指标信息
- 解析实验CATE研究使用的用户标签表
- 自动生成所有数据源的关联关系
- 为实验CATE研究提供自动化工具,目前包括
- 自动识别能最大化实验目标指标差异的子人群
- 提供调参接口,高级用户可自定义模型参数
- 提供可视化的模型结果输出,高级用户可根据输出调整模型表现
- 为实验的下钻分析提供探索、分析功能,目前包括
- CATE人群的实验效果统计检验
- CATE人群的多指标拆解
- CATE人群的特征描述
实验异质性分析案例
针对近期某频道重点改版实验,整体实验指标为负向且不显著,但通过运行分析工具后发现,有两类子人群分别具有正向和负向的显著效果
实验HTE人群统计

对于这些子人群,我们发现在业务漏斗上的变化各不相同,因此在下次对频道进行迭代时,产品经理可以根据分析结果有针对性地选择优化方向
人群编号 用户画像总结 频道uv 点击uv 加车uv 转化订单数
3 年轻人,低活跃度 1.0% 2.2% 2.6% 5.8%
38 非年轻人,高线城市用户,plus会员 -2.2% -2.2% -3.1% -5.7%
未来展望
- 自定义分流表
- 自定义画像表 & 经海路画像表
- CATE模型迭代
- 通用维度配置模版 & 业务场景模版
- 图形化交互界面,简化输入配置
附录及参考资料
【1】
因果分析框架 & Donald Rubin的Potential Outcome
? Potential Outcome
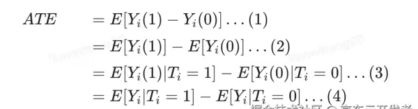
? 设 TiTi 代表第i个样本是否接受了处理(treatment,策略影响),是为1,否为0
? YiYi 代表个体i的结果,另外记 {Yi(1),Yi(0)}{Yi?(1),Yi?(0)} 为个体i接受处理、对照的潜在结果
? 每个个体通常只会有1个状态,个体因果作用无法直接观察,我们只有 Yi=Ti?Yi(1)+(1?Ti)?Yi(0)Yi?=Ti??Yi?(1)+(1?Ti?)?Yi?(0)
? 在随机化实验的场景下,我们可以得到

其中最重要的逻辑是:
T是随机化的, T⊥YT⊥Y ,所以 E[Yi(1)]=E[Yi(1)|Ti=1]E[Yi?(1)]=E[Yi?(1)|Ti?=1] ,因此(3)成立
因果推断(一):两大因果推断框架及因果效应:
https://zhuanlan.zhihu.com/p/652174282
因果推断简介之二:Rubin Causal Model (RCM) 和随机化试验:
https://cosx.org/2012/03/causality2-rcm/
【2】 ANOVA与CATE的交互效应分析
当需要进行异质性分析的维度为X时,我们可以通过构建下列回归方程来描述X在实验中是否存在显著的异质性,当 β3β3 对应的F-test显著时,我们就可以认为实验在维度X上存在显著的异质性
Y=β0+β1·T+β2·X+β3·X·TY=β0·+β1··T+β2··X+β3··X·T
当 X∈{0,1} 时,我们可以用下图来进行异质性的理解

CATE & ITE估计
思路1:对于每个参与实验的对象i,如果能获得 Yi(1) 和 Yi(0) 的合理预测,那么ITE就可以计算了。
思路2:对于实验群体X,如果能找到一种观测方法,求得 E[Yx(1)Yx(0)∣x∈X] ,那么CATE就可确定了。
Meta Learner的极简介绍
- S-Learner
- 阶段1: 利用模型预测 μ(x,t)=E[Y∣X=x,T=t]
- 阶段2: 定义CATE结果如下 τ(x)=μ(x,T=1)μ(x,T=0)
- T-Learner
- ...


雷达卡


京公网安备 11010802022788号







