在数值分析中,问题的敏感性与导数密切相关。对于函数的导数倒数 dx/dy 而言,其绝对值越小,表示系统对输入变化越敏感。
二分法是求解方程根的一种基础方法,中学阶段已有涉及,适用于连续函数且在区间两端函数值异号的情形。
不动点迭代法基于将原方程 f(x) = 0 转化为等价形式 x = g(x),此时满足 x = g(x) 的点称为不动点。该方法收敛的关键在于:在真实根 x* 附近,若 |g'(x*)| < 1,则迭代过程收敛;且 |g'(x*)| 越小,收敛速度越快。当 g'(x*) = 0 时,可实现二次收敛,即收敛速度显著提升。
以方程 f(x) = x - x - 2 = 0 为例,其根为 x = 2 和 x = -1。将其转化为四种不同的 g(x) 形式进行分析:
- 若 g(x) = x - 2,则 g'(2) = 4 > 1,迭代发散;
- 若 g(x) = √(x + 2),则 g'(2) = 1/4 < 1,呈现线性收敛,并从单侧趋近于根;
- 若 g(x) = 1 + 2/x,则 g'(2) = -1/2,绝对值小于1,同样线性收敛,但迭代点在根两侧交替逼近;
- 若 g(x) = (x + 2)/(2x - 1),则 g'(2) = 0,达到二阶收敛,速度最快。
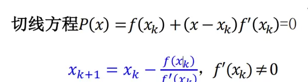
牛顿迭代法是一种高效的求根方法,通过在每一步使用泰勒展开的一阶近似来构造迭代公式:
x^(k+1) = x^k - f(x^k)/f'(x^k)
该方法具有较快的局部收敛性,通常为二次收敛。然而,它对导数的连续性要求较高,且每次迭代需计算导数,计算成本较大。
割线法可视为牛顿法的有限差分替代版本,利用前两次迭代点的函数值构造斜率代替导数,避免了显式求导,适合导数不易计算的情况。
反二次插值法(Inverse Quadratic Interpolation)则利用三个历史迭代点及其函数值,通过拉格朗日插值反推下一个估计值,常用于多项式根的高效逼近。
具体实现步骤如下:
1. 输入与初始化
给定三个初始近似解:
a
b
c
以及对应的函数值:
fa = f(a)
fb = f(b)
fc = f(c)
2. 计算中间变量
定义辅助变量:
u = fb / fc
v = fb / fa
w = fa / fc
随后计算:
p = v * w * u - w * c - b * (1 - u) * (b - a)
q = (w - 1)(u - 1)(v - 1)
新的估计值为:
new_estimate = b + p / q
new_estimate
3. 更新迭代点集
用新估计值替换原有三点中距离它最远的那个点,保持三个点的有序性,以便下一轮迭代继续使用。
a
b
c
重复上述过程直至满足收敛条件。
雅可比矩阵(Jacobian Matrix)是非线性方程组求解中的核心工具,由所有函数关于所有变量的一阶偏导数组成,形式如下:
[ f/x f/x ... f/x ]
J = [ f/x f/x ... f/x ]
[ ]
[ f/x f/x ... f/x ]
对于非线性方程组:
f(x, x, …, x) = 0
f(x, x, …, x) = 0
...
f(x, x, …, x) = 0
可通过构造相应的不动点格式进行迭代求解:
x^(k+1) = g(x^k, x^k, …, x^k)
x^(k+1) = g(x^k, x^k, …, x^k)
...
x^(k+1) = g(x^k, x^k, …, x^k)
而牛顿法在多维情形下的推广基于向量函数 f: → 的一阶泰勒展开:
f(x + s) ≈ f(x) + J_f(x)s
令近似等于零,解得修正量 s 满足:
J_f(x^k)s = -f(x^k)
从而得到迭代格式:
x^(k+1) = x^k + s = x^k - [J_f(x^k)] f(x^k)
此方法在初值足够接近真解时表现出良好的收敛性能,但需要求解线性方程组或矩阵求逆,计算开销较大。
此外,牛顿下山法通过对步长引入控制因子,增强算法的全局稳定性,防止因初始值不佳导致发散。


雷达卡




京公网安备 11010802022788号







