第二部分:解决的核心问题
本研究聚焦于数据资产估值领域中的三大关键挑战,并提出系统性解决方案:
1. 传统估值方法对数据资产的适配性不足
数据资产具备非实体性、可复制性、价值动态变化及高度依赖应用场景等特性,导致传统的成本法、市场法和收益法在实际应用中存在明显缺陷。为应对这一问题,本文构建了一套综合评估框架,将数据资产的价值划分为直接经济价值与潜在经济价值两个维度,分别采用改进的收益法与模糊B-S模型进行测算,显著提升了估值方法的适用性与准确性。
2. 物流行业缺乏专门的数据资产评估体系
物流领域的数据具有多维异构、时空敏感性强以及网络协同效应突出等特点,目前尚无统一的行业估值标准。针对此现状,结合物流企业运营模式,本文设计了一个涵盖六大核心功能模块的价值构成体系——包括运营优化、资产增效、风险缓释、知识衍生、生态协同以及模式创新,并在此基础上建立了匹配的量化评估模型。
3. 参数设定中的主观性与不确定性难以有效控制
在传统评估过程中,诸如收益分成率、折现率、波动率等关键参数往往依赖专家经验判断,容易引入主观偏差。为此,本文引入文本分析与熵权法联合确定权重结构,利用BP神经网络预测未来收入流,并通过模糊数学方法处理B-S模型中的不确定参数,从而增强了整个评估过程的客观性与结果的稳健性。
第一部分:基本信息
第三部分:所采用的研究方法
| 方法 | 用途 | 关键改进点 |
|---|---|---|
| 改进收益法 | 用于衡量数据资产带来的直接经济回报 |
1. 利用BP神经网络预测企业营业收入 2. 从自由现金流中剥离出表外无形资产(如数据)的实际贡献 3. 结合文本分析与熵权法,客观确定数据资产在无形资产中的权重 |
| 模糊 B-S 模型 | 评估数据资产的潜在期权价值 |
1. 使用梯形模糊数表示现时价格与执行价格,增强对不确定性的表达能力 2. 引入中国经济政策不确定性指数(EPU)对关键参数进行模糊化处理 |
| 文本分析法 | 构建表外无形资产关键词词典并统计其出现频率 | 融合Word2Vec语义扩展技术与TF-IDF算法,实现关键词自动挖掘与精准筛选 |
| 熵权法 | 客观计算各类表外无形资产的相对重要程度 | 基于财报文本中关键词频次构建矩阵,通过信息熵确定各指标权重,避免人为干预 |
| 案例分析法 | 验证模型在真实场景下的可行性与有效性 | 以顺丰控股为实证对象,使用其2016–2023年度财务报告数据,完整执行参数估计至最终估值的全流程 |
第四部分:关键技术细节解析
(1) BP神经网络在营业收入预测中的应用
输入层变量:选取GDP增长率、市场份额、电商交易总额、运营成本及业务量共五个宏观经济与企业运营指标作为输入因子。
隐含层结构:
tansig
激活函数选择:
purelin
输出层形式:采用线性输出方式生成未来年度营业收入预测值。
训练算法:
trainlm(Levenberg-Marquardt优化算法)
最终输出:获得2024年至2028年期间的营业收入预测序列。
(2) 文本分析与熵权法结合确定权重的技术路径
传统权重设定方法(如层次分析法)高度依赖专家主观打分,存在“拍脑袋”决策的风险。本文提出一种基于文本大数据的客观赋权机制:假设某一类无形资产在企业公开披露文件(如年报)中被提及的频率越高,说明其战略地位越重要,对应的权重也应更高。
具体实施步骤如下:
① 分类定义种子词汇
首先明确“表外无形资产”的主要类别。本文将其划分为六大类:客户关系、品牌声誉、技术知识、数据资产、合规权益和组织资本。每一大类下进一步细分子维度。例如,“客户关系”类别包含“战略协议”、“加盟网络”等子项。
为每个子维度设定若干基础性、共识度高的关键词作为“种子词”,如“战略协议”维度可设“合作协议”、“长期合约”等为核心种子词。这一步相当于明确目标鱼种并准备基础饵料。
② 构建专业语料库
为了提升计算机对行业术语的理解能力,需提供大量高质量文本进行训练。语料来源包括物流行业的白皮书、技术规范、政策文件(如《物流数据安全分级保护实施指南》)等。
原因在于:仅在财报中搜索有限的几个关键词,覆盖面窄且易遗漏表达变体;而专业文献提供了更丰富、更地道的语言环境,是训练语义模型的理想“教材”。
③ 模型训练与关键词词典构建(核心技术环节)
该阶段旨在将少量初始种子词扩展成一个全面、准确的关键词词典。
Word2Vec语义建模
将前述语料库输入Word2Vec模型,该模型能够学习词语在上下文中的分布特征,生成高维向量表示,并据此计算词语间的语义相似度。
操作流程:以某一种子词(如“合作”)为输入,模型计算其向量与其他所有词向量的余弦相似度,返回最接近的若干词汇,形成相关词候选列表。
示例:若“合作”常与“框架协议”、“数据共享”等词共同出现在相似语境中,模型会判定它们语义相近。
执行动作:对每个种子词调用模型,提取前10个语义最相似的词汇,汇总形成初步扩展词库。
双重过滤机制确保质量
自动生成的词汇可能存在噪声或无关项,因此引入两层过滤策略:
- TF-IDF过滤:剔除那些在所有文档中频繁出现但无区分度的通用词汇(如“公司”、“发展”),保留TF-IDF值较高的关键词。
- 现实影响力过滤:创新性地引入外部热度指标(如百度指数、微博情感趋势),确保入选词汇不仅语义相关,还具备一定的社会关注度和现实影响力,从而增强词典的实用性与代表性。
步骤:
1. 构建表外无形资产分类体系(6类,21个维度)
2. 基于行业语料库训练Word2Vec模型,扩展关键词词典
3. 使用TF-IDF + 百度指数/微博情感双重过滤,构建最终关键词词典
4. 统计顺丰控股年报中关键词词频,构建频次矩阵
5. 使用熵权法计算每一类无形资产的权重
种子词扩展成果展示
合作协议联盟百度指数超过500,表明该词汇在公众或行业领域具备较高的关注度,排除使用频率过低的冷门术语。同时,微博正向率高于85%,确保该词在社交媒体上的舆论倾向以正面或中性为主,规避带有明显负面情绪的表达。
通过上述双重筛选机制,为每个资产维度最终甄选出5至7个兼具热度、相关性与质量的关键词,构建出结构清晰、代表性强的关键词词典。该词典作为后续分析的基础工具,其详细构成见论文附录表A.1的表头部分。

财报文本中的关键词频次统计
目的说明: 利用第三步构建完成的“关键词词典”,对顺丰控股2016年至2023年期间发布的全部财务报告文本进行系统性扫描,识别并记录各关键词的实际出现次数。
实施方法:
- 综合匹配策略: 不局限于精确字面匹配,还引入模糊匹配机制,涵盖近义词替换、分词组合变化等形式,尽可能全面捕捉语义相关的表述,防止关键信息遗漏。
- 计数工具应用: 借助Python语言中的Counter函数实现高效自动化计数。该工具可遍历全文,每当检测到词典中的某个关键词时,即在对应“资产维度-关键词”条目下自动累加一次。
输出成果: 最终生成的数据集即为附录A.1所展示的大型统计表格。该表格按年度划分,详尽列示了每一个关键词在每一年度财报中被提及的具体频次。例如,在2023年的财报中,“数据”一词共出现50次,反映出企业在当年对该概念的重视程度。
熵权法计算权重
基于关键词频次统计数据,采用熵权法公式进行处理,得出各指标的客观赋权结果。此过程避免了主观赋权带来的偏差,提升了评估体系的科学性与可信度。
输出结果为各项数据资产对应的权重值(见公式3)。
基于模糊B-S模型测算潜在价值
1. 经典B-S期权定价模型概述
Black-Scholes模型(简称B-S模型)是金融学中用于为期权产品定价的核心理论之一,由Fischer Black、Myron Scholes和Robert Merton于1973年提出,后两位学者因此荣获诺贝尔经济学奖。该模型在无套利、市场连续交易、价格波动服从几何布朗运动等理想化假设前提下,能够推导出看涨期权的理论公允价值。
核心思想通俗解释(以房产期权为例):
设想您看中一套当前市价(S)为100万元的房产,但暂不确定是否购买。为此,您支付开发商5万元作为期权费(C),获得一项权利:在未来一年后(T),无论房价如何变动,您均可按约定价格100万元(X)购入该房产。
那么,这项“选择权”本身的价值是多少?这正是B-S模型试图解答的问题。其定价受以下因素影响:
- S(现价): 标的资产当前市场价格越高,看涨期权越有价值。
- X(执行价): 约定的买入价格越低,期权持有者获利空间越大,权利越值钱。
- T(期限): 距离到期时间越长,价格变动可能性越大,期权的时间价值越高。
- σ(波动率): 未来价格波动越剧烈,潜在收益越高,期权价值上升。
- r(无风险利率): 反映资金的时间成本,影响折现水平。
数学表达式(对应论文中式4.25–4.27):

其中:
- C:看涨期权的理论价值(待求解)
- S:标的资产当前价格
- X:期权执行价格
- T:剩余到期时间(单位:年)
- r:无风险年化利率
- σ:资产价格的年化波动率
- N(·):标准正态分布的累积分布函数(可通过查表或程序计算)
- e^{-rT}:连续复利下的折现因子,用于将未来执行价折算至当前时点
在本文研究中的转化应用:
作者将企业持有的数据资产类比为一种实物期权:
- S(现价): 数据资产的直接经济价值,来源于前文改进收益法的测算结果。
- X(执行价): 未来为开发、升级和维护该数据资产所需投入的成本总额。
- T(时间): 数据资产预计可产生经济效益的持续周期,如设定为5年。
模型逻辑延伸:
企业当前拥有数据资源,相当于持有一份看涨期权。未来可根据市场环境和技术条件决定是否追加投资(即“行权”),从而释放更大价值。这种“灵活决策权”本身具有经济价值(C),即被视为数据资产的潜在经济价值。
基本B-S模型的局限性:
该模型依赖参数为确定数值,但在现实场景中,尤其是针对数据资产这类新兴且高度不确定的对象,诸如S、X、σ等关键变量难以精确定量,更适宜用区间或范围来描述。若强行代入单一固定值,可能导致估值失真,缺乏稳健性。
2. 模糊B-S模型的引入与优化
引入动因:
为克服传统B-S模型对参数精确性的苛刻要求,适应数据资产估值中普遍存在的不确定性问题。由于数据资产价值易受政策调整、技术演进及宏观经济波动影响,其现值(S)和未来投入成本(X)无法用确切数字表达,更适合描述为“大致处于某一区间,最可能集中在某一点”。
主要改进:
融合模糊数学理论,将原本确定的输入参数转化为模糊数。在本研究中,重点对以下两个高不确定参数进行模糊化处理:
- 原参数 S → 转换为 模糊现价 S'
- 原参数 X → 转换为 模糊执行价 X'
什么是模糊数?
模糊数并非含糊不清,而是一种严谨的数学建模方式,用于刻画“大约在a到b之间,且更倾向于中间值”的认知状态。本文采用梯形模糊数进行表示:
(a, b, α, β)
其中:
:表示最可能取值的核心区间。[a, b]
:左侧扩展宽度,反映低于a的可能性程度。α
:右侧扩展宽度,反映高于b的可能性程度。β
举例说明:
若判断某项数据资产价值“大约在80万至120万之间,几乎不会低于70万,也不会超过140万”,则可用梯形模糊数表示为:
S' = (80, 120, 10, 20)
模糊数的客观确定方法(论文创新点之一):
作者未采用主观赋值方式,而是借助“中国经济政策不确定性指数(EPU)”的历史波动数据,科学界定模糊边界:
- 对于S': 利用EPU指数历史正负回报率,分别测算数据资产价值向上和向下波动的合理幅度,形成模糊区间。
- 对于X': 同样基于EPU指数波动特征,估算未来维护与开发成本的不确定性范围。
这一做法增强了模糊参数设定的客观性和实证基础,提升了模型在实际应用中的说服力与适用性。
将外部宏观经济的不确定性进行量化处理,并将其有效嵌入模型体系之中,是提升评估精度的关键步骤。其中,利用EPU指数来界定开发成本可能发生的波动范围,是一种可行的方法。
该方法的核心在于把宏观环境中的不确定因素转化为可计算的数值区间,从而增强模型在现实复杂环境下的适应性与解释力。
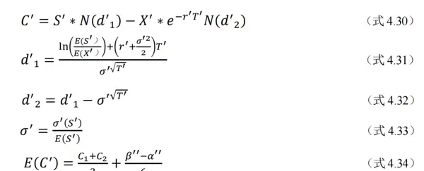
在此基础上,模型采用了改进形式的核心公式(对应论文中的式4.30至式4.34),其结构虽与经典B-S模型相似,但所有参数均以“~”标记,表明其为模糊数而非精确值。
整个计算流程相较传统方法更为复杂,具体包括以下几个阶段:
输入模糊参数:首先引入具有不确定性的输入变量,表现为模糊数形式。
S' = (S1, S2, α, β)X' = (X1, X2, α', β')
计算模糊波动率:基于上述输入,进一步推导出模糊状态下的波动率指标。
σ' = σ(S') / E(S')其中,
E(S')代表S'的期望值,在模糊环境下用于支撑后续运算。
求解模糊期权价值:通过模型运算得出的期权价值结果同样为一个模糊数。
C'例如,其表现形式可如:
C' = (C1, C2, α'', β'')
去模糊化处理:为便于实际决策应用,需将最终得到的模糊数值转换为单一确定值。这一步通过计算
C'的期望值得以实现,即:
E(C')由此获得的清晰数值,即作为项目潜在经济价值的最终评估输出。
整体过程可通过以下图示进行概括与展示:
物流数据资产价值评估体系
├── 直接经济价值(改进收益法)
│ ├── BP神经网络预测收入
│ ├── 自由现金流剥离
│ └── 文本分析+熵权法确定权重 → 输出 S
├── 潜在经济价值(模糊B-S模型)
│ ├── 参数模糊化(EPU指数)
│ ├── 波动率计算
│ └── 期权价值计算 → 输出 C'
└── 总价值 = S + E(C')
此外,原公式体系的整体框架如下所示:



雷达卡


京公网安备 11010802022788号







