正文
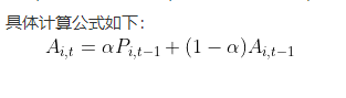
本文以加权总资产回报率(ROA)衡量企业业绩,ROA能充分体现企业盈利能力,且可为各利益相关者获取。依据业绩反馈理论,业绩预期差距主要涵盖历史业绩预期差距与行业业绩预期差距。
计算公式相关图片
数据处理说明- 数据区间选择:全部A股2000 - 2021年,剔除金融保险行业、剔除ST、*ST公司的样本、剔除数据缺失的样本。
- 计算结果图片

- 数据量图片


2001 - 2021年送do代码的A股公司行业业绩期望差距与历史业绩预期差距数据
本附件包括:
- 图片:22年10月21日2301_2.png、22年10月21日2304_3.png、22年10月21日2314_4.png、22年10月21日2315_5.png、22年10月21日2317_6.png
- 文件:计算方法.do、上市公司数据汇总.dta、上市公司数据汇总.xlsx、业绩预期差距、内外部治理与非效率投资_徐佳.caj、业绩预期差距、审计监督与非效率投资_王丽娟.pdf、业绩预期差距结果.dta、业绩预期差距结果.xlsx
A股上市公司历史业绩与行业预期差距数据及DO代码(2001-2021)
(76 Bytes, 需要: RMB 36 元)


雷达卡




京公网安备 11010802022788号







