多因子模型概述_英文翻译_多因子模型的基本形式和种类
多因子模型概述
多因子模型是关于资产定价的模型。与资本资产定价模型和单指数模型不同,多因子模型认为证券价格并不仅仅取决于证券的风险,还取决于其他一些因素,如,投资者未来预期收入、未来消费品的相对价格及未来的投资机会等。
多因子模型的理论背景是Ross基于套利原理创立的套利定价理论(APT)和Merton基于均衡原理创立的跨时期资本资产定价模型(ICAPM)。
多因子模型英文翻译
多因子模型(Multifactor Model)
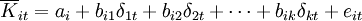
多因子模型的基本形式
![]()
式中:δkt——第是个风险因素在时期,的意外变化;bik资产i对第是个风险因素的敏感系数。
多因子模型的种类
第一,Brennan—Schwartz模型
Brennan—Schwartz模型运用短期和长期利率作为因子解释利率期限结构。短期利率对长期均衡有均值回复的效应,并遵循对数正态过程,长期利率遵循另外的对数正态过程,即:
dlnr = a(lnl − lnr)dt + b1W1
[size=13.9200000762939px] dl = la(r,l,b2)dt + b2ldW2
其中E[dW1dW2] = pdt.从模型中无法直接得到债券价格的封闭解,必须求解其数值解。
第二,Richard模型
Richard模型运用实际利率ρ和通货膨胀率π作为两种因子,两者相互独立,并遵循以下平方根过程:
[size=13.9200000762939px] 
[size=13.9200000762939px] 
得到名义利率与实际利率、通货膨胀率之间的关系式:
r = ρ + π(1 − var[dP / P])
其中,P表示预期变化为通货膨胀率的价格。因而名义债券价格的解为:
![]()
第三,Cox-Ingersoll-Ross/Langetieg模型
1985年,Cox,Ingersoll和Ross又发展了两因子模型,认为利率的变化除了短期利率的随机过程外,还存在长期利率的随机过程。遵循CIR模型的思路,瞬时利率r可以分解成两个独立的因子Y1和Y2(即r = y1 + y2),则关于债券价格的解为:
![]()
如果每一因子都遵循Vasicek假设,那么其中每一个P值都会有单因子解;如果每一因子都遵循CIR假设,那么债券价格将是两个CIR公式的乘积。
第四,Longstaff-Schwartz模型
Longstaff-Schwartz模型与CIR模型的区别在于它将无法观测到的因子映射为在确定利率期限结构中重要的可观测的因子.其中两种状态变量可以写成:
[size=13.9200000762939px] 
[size=13.9200000762939px] 
其中,dW1dW2 = 0,根据CIR,均衡的利率水平及其波动率为:
r = αy1 + βy2
r = α2y1 + β2y2
运用伊腾法则(Ito's lemma)解联立方程,得到dr和dV的表达式,从而得到债券价格的封闭解。


雷达卡





京公网安备 11010802022788号







