原文中写了一个函数,可以用于划出各个指数的波段图。当然划出的波段图不仅可以用来找寻顶部、底部。更是可以进一步用来做技术分析,例如波浪理论、缠轮等等。杨勇老师微信的公众号,其对大盘指数的预测还是非常精准的,用到的也主要是波浪理论、缠轮等。
因为波段图就是一个底部一个顶部相交互,筛选出底部的时间点与指数低点
对比研报中的结果,少了2016-01-27这个底部,因为实际上从2016-01-27的2638.3的底部至今没有涨幅超过20%的时候,最多的时候是17%。但原帖中还是加上去一起统计。

接下来统计一下每个底部反弹的时间长度,要注意的是 2016-01-27 2638.302 最后一个底部其反弹多少还不能确定。

统计的结果和杨勇博士的没差。接下来探索以下底部各个行业超额收益的情况。点击查看原文代码
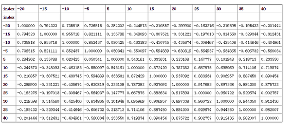
得到底部与超额收益的相关系数,跟研报的结论基本一致,行业超额收益反转的现象。过去超额收益率越高的行业,在底部之后的10个交易日之后将收益率越低。
其中-20表示过去20天到底部[-20,0]的超额收益,5[0,5]表示从底部到接下来5日的超额收益

结果与研报的稍有不同,可能是因为行业收益率的计算方式不同,以及计算中去除了第一个底部的数据。接着可以看下处于反弹时,分析结果推荐行业的表现情况


可以看到每次反弹的带头大哥都是银行、保险、证券和房地产等行业,但往后走银行等金融行业的收益率在不断下降,而房地产仍能保持不错的收益率。反弹多天后推荐的行业是有色金属、电气设备、建筑材料、汽车等。

雷达卡





京公网安备 11010802022788号







