赌徒迷信的是运气 赌场相信的是数学
赌王何鸿燊接手葡京赌场时,业务蒸蒸日上,但理性的赌王仍然忐忑,请教“赌神”叶汉:“如果这些赌客总是输,长此以往,他们不来了怎么办?”叶汉笑道:“一次赌徒,一世赌徒,他们担心的是赌场不在怎么办。”
叶汉说的只是心理层面,现代赌场程序方面的设计,比叶汉当年要缜密得多,赌场集中了概率、级数、极限方面的数学经验。一个普通赌徒,只要长久赌下去,最终一定会血本无归,所谓的各种致胜绝技,除了电影里的周星星,现实里的周星驰都不信。
赌徒永远不明白,与自己对赌的不是运气,也不是庄家,他们是在与狄利克雷、伯努利、高斯、纳什、凯利这样的大师对决数学,赢的胜率能有多大?

看得到的是概率 看不见的是陷阱
我们先说一个最简单的赌博游戏:赌运气猜硬币。
规则是这样的,掷硬币,正面赢反面输,赢了可以拿走一倍的钱,输了会赔掉本金,你玩不玩?你可能觉得,唉,这游戏不错,公平!恰好运气也不错,第一把赢了100元!你高兴坏了,这时候庄家跟你说,你看你也赢了这么多,我呢,辛辛苦苦搭个场子,最后什么都没捞着,要不这样,你赢了,就给我留下2%,就算是救济救济老哥,给捧捧场!你一听,2%,才这么点,拿去吧,不差钱!好了,这事就这么定下来了。
然而你做梦都想不到的是:就是这小小的2%,最后却让你输得倾家荡产、家破人亡。
这小小的2个点的赢的概率貌似不起眼,但配上“大数法则”,就成为了赌场赚钱的利器!“大数法则”是数学家伯努利提出来的,说的是假设n(a)是n次独立重复实验中发生a的次数,p是每次实验发生a的概率,当n足够大的时候,对任意正数ε,有lim{[|(n(a)/n)| p]<ε}=1,公式这么复杂,99%的赌徒都看不懂,看不懂没关系,我们只看结果,最终庄家赢到的钱=0.02*a。
庄家赚的钱最终只跟玩家下注大小有关!这也就是我们常说的“流水”,只要玩家不停地玩,庄家就会不停地赚!而不管玩家是输是赢,庄家始终是赢的!为什么赌场有“最小投注额”,因为扩大“流水”才能将利润最大化!
所以别以为自己有多聪明,你要庆幸自己玩得不够久而已,十赌九输正源于此。

只要进了赌场 你就是一个穷鬼
我们再进一步,就算双方的概率均等,你仍然是一个输家,这里涉及到“无限财富”和“赌徒输光定律”,这个定理在现实生活中有许多应用,如“姓氏消亡”“线粒体夏娃假说”,在概率均等的情况下,谁的资本大,谁的赢率高。
你和我对赌,你我各有5块钱,输光为止。那么你赢的概率是50%,输的概率也是50%。
你和我对赌,你有5块钱,我有10块钱,输光为止,那么你赢的概率就只有33.3%,而输的概率有66.7%(这里涉及到高斯的概率论和泰勒的级数论),后面隐藏的就是赌场大BOSS凯利公式,后面小节里将详加表述。
对于小散户,赌场一般可以认为财富是无限多的,你赢不垮它,它却能吃了你。在赌场老板的眼里,世界只有两种人:一种现在是穷鬼,一种未来是穷鬼。
“无限财富定律”也解释了赌场设置最大投注额原因。不是老板好心保护赌徒免遭破产,只是老板为了保护自己设置的安全屏障,想象下万一哪天比尔盖茨去赌场找乐子,一次性砸个几百亿进去,那赌场老板真的要哭了,虽然这种事情不太可能发生,但也不能不防,所以赌场根据自己的财富能力设计最高投注额,也就是为了抵抗“无限财富定理”!

赌场大BOSS凯利公式: 先告诉你怎么下注
凯利公式在高级赌徒的世界里大名鼎鼎,那什么是凯利公式,我们先看一个例子:
有一个简单2赔1的赌局,扔硬币下注,硬币为正面则得2元,如果为反面则输掉1元,你的总资产为100元,每一次的押注都可投入任意金额。
你会怎么赌呢?
如果你是冒险主义者,你可能会想,要玩就玩票大的,一次性把100元全压上,幸运的话,一次正面就可以获得200元,又是一段值得炫耀的赌史;可是,如果输了得把100元资产拱手献给对方,你就一无所有,好不容易来趟拉斯维加斯,这肯定不是明策。
如果你是保守主义者,你可以会想,谨慎点,百分之一慢慢来。你每次只下注1元,正面赢2元,反面输1元。玩了20把突然觉得,对方下注10元一次就赢得20元,自己一次才赢2元、10次才能赢得20元,后悔已经错过几个亿!
100太多1块太少,该投入多少比例下注?普通赌徒看似无解,但凯利公式告诉你答案是25%!
让我们来看看凯利公式的庐山真面目:

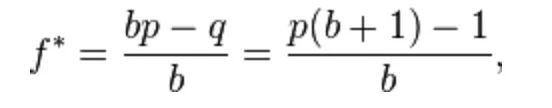
在公式中,各参数意义为:
f* = 应投注的资本比值
p = 获胜的概率
q = 失败的概率
b = 赔率
公式上面的分子bp-q代表“赢面”,数学中叫“期望值”。
什么才是不多不少的合适赌注呢?凯利告诉我们要通过选择最佳投注比例,才能长期获得最高盈利。回到前面提到的例子中,硬币抛出正反面的概率都是50%,所以p、q获胜失败的概率都为0.5,而赔率=期望盈利÷可能亏损=2元盈利÷1元亏损,赔率就是2,我们要求的答案是f,也就是(bp - q) ÷ b = (2 * 50% - 50%) ÷ 2 = 25%。
拿出资金的25%来进行下注,才能使赌局收益最大化。
赌场操盘者的每一次下注的时候,都会谨记数学原则,而作为普通赌徒,除了心中默念“菩萨保佑”外,哪里知道这后面的数理知识。
所以,就算你赢得了财神爷的支持,但你也永远赢不了“凯利公式”。

其实公式的作者,凯利,并不是一个资深赌徒,而是一位著名的物理学家,他发明这个公式的时候正是著名贝尔实验室 中的一名研究科学家,研究方向是当时还算新兴前沿的电视信号传输协议。

除了100%赢 任何时候都不应下注
所有的赌场游戏,几乎都是对赌徒不公平的游戏。
但这种不公平并非是庄家出老千,现代赌场光明正大地依靠数学规则赚取利润,从某种意义上来讲,赌场是最透明公开的场所,如果不是这样,进出赌场不知有多少狂命之徒,何鸿燊早怕九条命都不够。
凯利公式不是凭空设想出来的,这个数学模型已经在华尔街得到验证,除了在赌场被奉为正神,也被称为“资金管理神器”,是比尔格罗斯等投资大佬的心头之爱,巴菲特依靠这个公式也赚了不少银子。
1955年6月,美国出现了一个极其有名的电视节目,叫做64000 dollar question。答题者通过不断答对题来累积奖金,一时风靡全美,黄金时段收视率达到85%,各路山寨节目不断。这样一个问答秀迅速吸引了场外下注来赌赢家的赌盘。这档节目的录制是在纽约,东海岸现场直播,而西海岸则有延时。当时的新闻爆出一些丑闻,有关西海岸的赌徒通过电话提前得知结果,赶在了西海岸直播前下注。
凯利看了新闻之后,他想到这个如何使具备一定内幕消息但是同时有一部分杂音的赌徒最大化长期获益的问题,可以使用他们实验室关于咨询学和噪音传递研究的公式来解决。于是,他以一个赛马的模型,推出了凯利公式的雏形。
凯利的理论是这样的,对于有一定内幕消息的赛马人来说,第一个自然的想法当然是放入全部的资金,但是这样就会造成万一输掉血本无归的惨境。而在凯利想要解决的这个问题中,在任何一个时刻输掉全部资金显然是不符合最大化累积收益的需求的。
真正应该关心的是长期累积的收入,对于累积的收益来说,最后的结果只和输赢的局数有关,而和输赢的顺序无关。所以他推出了一个最佳的投入仓位比,来最大化长期的累积收益:
bet = edge / odds = 预期获益/获益回报
edge=bp-q
这里的edge 在赌博中可以理解为 获胜的概率*赔率 - 失败的概率,也就是上文提到的赢面。当edge的数字为正的时候,这就是值得下注的比赛,而edge为0或者负数的情况说明赌徒不具备edge, 不应该下注。
而odds则是赔率,我们更可以把它理解为一种公众对概率的估计,是公开的消息。
我们可以用凯利模拟这样一种情况:小明现在有100元的起始资金,他现在将要投硬币4次,每一次他投出硬币为正面的时候,将获得6倍资金回报(1陪5),当他投出硬币为反面,陪光。请问小明要如何分配每次下注资金,才能最大化他4次投币之后的收益呢?

根据凯利公式计算,我们可以建立起这样一个正反面的概率各为50%,edge = 0.5*5-0.5 = 2, odds为5,最佳仓位为40%,可以看到最终在16个可能出现的结果中(4次投掷),12.96和8100出现1次,64.8和1620出现4次,324出现6次,16次结果的收益为324。凯利公式的目的正是最大化这些结果的收益。
由于凯利公式着眼于长期回报率和风险的控制,所以天然就吸引投资人想要把它应用在投资当中。比如著名的传奇数学家Edward Thorp读了凯利的论文之后,先是自学Fortran用IBM大型机开发了一套专门用于21点的算法(感兴趣的同学可以去看下电影21,电影里的card counting的方法正是获得edge的来源),带上凯利的导师在拉斯维加斯大把吸金。
结语 赢得胜利的唯一法则:不赌
没有谁能说服一个堕落的赌徒,因为这是人格的缺陷。
但如果你还是一个具有理性精神的人,别再迷恋所谓的运气。
赌徒能够依靠的是祖宗保佑,而赌场后面的大佬是高斯、凯利、伯努利这样的大神。
你怎么可能赢得了庄家?
论理性,没有人能比赌场老板更理性。
论数学,没有人能比赌场老板请的专家更精通数学。
论赌本,没有人能比赌场老板的本钱更多。
如果你想真正赢得这场赌局,法则只有一个:不赌。


雷达卡




京公网安备 11010802022788号







