1. 也称标准化值
2. 对某一个值在一组数据中相对位置的度量
3. 可用于判断一组数据是否有离群点(outlier)
4. 用于对变量的标准化处理
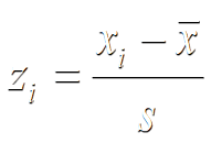
5. 计算公式为

在后续的python机器学习中,经常会用到对数据做标准化处理, 非常重要哟
|
楼主: 我是小趴菜
|
640
0
[数据挖掘新闻] 统计学: 标准分数---standard score |
|
教授 35%
-
|
| ||
|
|
加好友,备注cda京ICP备16021002号-2 京B2-20170662号
京公网安备 11010802022788号
论坛法律顾问:王进律师
知识产权保护声明
免责及隐私声明


