千呼万唤始出来,之前做了一版2000-2021年的股价崩盘风险四大指标,没想到大家热情满满,好多人留言问啥时候出最新版,由于23年比较忙,没有更新2022年的数据,此次更新直接更新到2023年,满足各位使用!
时间区间:2000年—2023年
数据筛选:剔除了每年交易周数小于30的数据
核心变量说明:
NCSKEW1、DUVOL1、CRASH1、CRASH_COUNT1、w_mean1、w_sd1:
根据考虑现金红利再投资的综合周市场回报率(等权平均法)计算得出;
NCSKEW2、DUVOL2、CRASH2、CRASH_COUNT2、w_mean2、w_sd2:
根据考虑现金红利再投资的综合周市场回报率(流通市值加权平均法)计算得出;
NCSKEW3、DUVOL3、CRASH3、CRASH_COUNT3、w_mean3、w_sd3:
根据考虑现金红利再投资的综合周市场回报率(总市值加权平均法)计算得出。
可以选择其一用作基础回归,其余变量用作稳健性检验
关键控制变量:
w_mean:年度周特质收益率均值
w_sd:年度周特质收益率标准差
Wretwd_mean:年度周收益率均值
Wretwd_sd:年度周收益率标准差
相关计算公式:
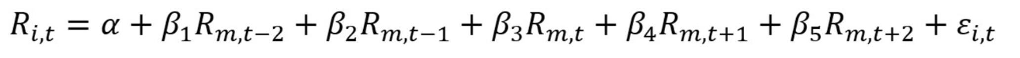
首先把周个股回报率与周市场回报率回归

得到周特质收益率

计算 NCSKEW

计算DUVOL

计算CRASH

计算CRASH_COUNT

CRASH_COUNT参考文献:
[1]Callen, J. L., and X. Fang. Institutional Investor Stability and Crash Risk: Monitoring versus Short-termism[J].Journal of Banking and Finance, 2013,37(8):3047-3063.
[2]吴晓晖,郭晓冬,乔政.机构投资者抱团与股价崩盘风险[J].中国工业经济,2019(02):117-135.
资料包含:
1、2000-2023年上市公司年度股价崩盘风险.xlsx
2、命令.do
3、2000-2023年股票周收益原始数据.dta
使用说明:
可以直接打开汇原始数据运行do文件,
其中,do命令里默认为流通市值加权平均法,若用其他两种加权法,可以改变数据汇总表中的变量名称


雷达卡




京公网安备 11010802022788号







