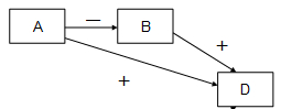
想问一下,下面 建立的这种模型 从逻辑上是否合适。。 A反向影响B,B正向影响D, A正向影响D。。。 是否合理?
大神指教啊。
|
楼主: alvin_cz
|
1191
2
[问答] 概念模型 构建 问题? |
|
大专生 83%
-
|
|
|
|
加好友,备注cda京ICP备16021002号-2 京B2-20170662号
京公网安备 11010802022788号
论坛法律顾问:王进律师
知识产权保护声明
免责及隐私声明


