一、一元线性回归
回归分析可以用来分析变量间的关联强度和关联方向,而且还可以通过回归方程式,利用已知的自变量预测未知的因变量。
一元线性回归又称简单线性回归,是只包括一个自变量和一个因变量,而且二者的关系可以用一条直线近似表示,会建立出一个一元线性回归方程。设为

二、最小二乘法求一元线性回归方程
回归分析中要确定一个一元线性回归方程,很简单,只需要通过样本数据求出公式中a和b两个参数的值,一元线性回归方程就唯一确定。
a和b如何确定,有一种比较好的计算方法,叫做最小二乘法。这里以一个简单小案例具体介绍如何用最小二乘法估计参数a和b。
**案例数据:**为了研究受教育年限和职业声望之间的关系,得到了8个抽样调查结果如下:

首先分析样本数据,先绘制一个散点图,看看数据的分布情况,这里将数据整理成上方表格的形式,上传到SPSSAU,上传成功如下图所示,【受教育年限】为自变量,【职业声望】为因变量:

选择【可视化】板块中的【散点图】,以受教育年限】和【职业声望】两个变量的数据来绘制散点图:

输出散点图:

由散点图可见,职业声望(Y)随受教育年限(X)的增加而增加,且这些点呈直线趋势,所以我们可以求出一条最能代表这8个数据分布点分布趋势的直线:
不妨设为:

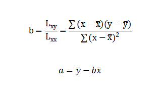
使用最小二乘法对这个直线回归方程中的参数a和b进行估计:
公式如下:

具体求法:
第一步:求出变量x的平均值

第二步:求出变量y的平均值

第三步:求出系数b

第四步:求出截距a

这样就得到了一元线性回归方程:

三、SPSSAU线性回归分析
需要对数据进行线性回归分析,可以使用SPSSAU,快速完成数据分析,在【通用方法】中选中【线性回归】方法,将【受教育年限】与【职业声望】分别放入对应分析框中,点击【开始分析】可一键输出结果,如下图:

输出结果:

智能分析:由文字分析可知,SPSSAU算出的线性回归模型公式和我们之前手算的公式完全一样,另外自动分析出受教育年限会对职业声望产生显著的正向影响关系。

模型预测:另外还提供简单线性回归的模型预测,输入自变量【受教育年限】的值,系统会自动预测【职业声望】的值。如下图:

此时我们预测受教育年限为25时的职业声望,如下图:

另外可以通过线性回归的方差分析检验回归模型:

方差分析可知,对模型进行F检验时发现模型通过F检验(F=57.898,p=0.000<0.05),也即说明模型构建有意义。


雷达卡



京公网安备 11010802022788号







