关于本站
人大经济论坛-经管之家:分享大学、考研、论文、会计、留学、数据、经济学、金融学、管理学、统计学、博弈论、统计年鉴、行业分析包括等相关资源。
经管之家是国内活跃的在线教育咨询平台!
获取电子版《CDA一级教材》
完整电子版已上线CDA网校,累计已有10万+在读~ 教材严格按考试大纲编写,适合CDA考生备考,也适合业务及数据分析岗位的从业者提升自我。
论文
- 毕业论文 | 写毕业论文
- 毕业论文 | 为毕业论文找思路
- 毕业论文 | 可以有时间好好写 ...
- 毕业论文 | 毕业论文如何选较 ...
- 毕业论文 | 毕业论文选题通过 ...
- 毕业论文 | 还有三人的毕业论 ...
- 毕业论文 | 毕业论文答辩过程 ...
- 毕业论文 | 本科毕业论文,wi ...
考研考博
- 考博 | 南大考博经济类资 ...
- 考博 | 考博英语10000词汇 ...
- 考博 | 如果复旦、南大这 ...
- 考博 | 有谁知道春招秋季 ...
- 考博 | 工作与考博?到底 ...
- 考博 | 考博应该如何选择 ...
- 考博 | 考博失败了
- 考博 | 考博考研英语作文 ...
TOP热门关键词
坛友互助群![]() |
扫码加入各岗位、行业、专业交流群![]() |
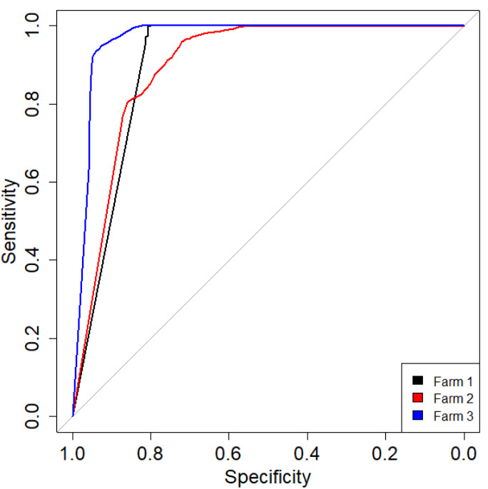
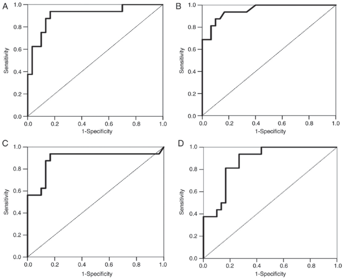
ROC曲线(接收者操作特征曲线)是用于评估二分类模型性能的重要工具,特别是在医学诊断中。ROC曲线通过绘制不同阈值下的敏感性和特异性来展示模型的性能。敏感性(Sensitivity)和特异性(Specificity)是衡量诊断测试准确性的两个关键指标。
敏感性是指在所有实际正例中,预测为正例的比例,即TP/(TP+FN),反映了模型正确识别正样本的能力。特异性是指在所有实际负例中,预测为负例的比例,即TN/(TN+FP),反映了模型正确识别负样本的能力。
ROC曲线的横轴通常表示1-特异性(False Positive Rate, FPR),纵轴表示敏感性(True Positive Rate, TPR)。随着阈值的增加,敏感性和特异性之间存在权衡关系:提高敏感性通常会降低特异性,反之亦然。理想情况下,ROC曲线应该尽可能接近左上角,因为这表示高灵敏度和高特异性。
查看

模型评估:ROC曲线的绘制和AUC的计算_roc模型-CSDN博客
在实际应用中,通过调整阈值,可以找到最佳的决策边界,以平衡敏感性和特异性。
查看
例如,在某些情况下,当阈值较低时,敏感性较高但特异性较低;而当阈值较高时,敏感性降低但特异性提高。
查看
这种权衡关系在不同的研究或数据集中表现出来,可以通过绘制ROC曲线来直观地展示。
查看

用GraphPad Prism绘制ROC曲线,快速找较佳诊断阈值
ROC曲线下的面积(AUC - Area Under Curve)是衡量模型整体性能的重要指标,AUC值越接近1,表示模型性能越好。AUC值不仅反映了模型在不同阈值下的表现,还综合了敏感性和特异性的信息。
ROC曲线通过展示敏感性和特异性之间的关系,帮助我们理解诊断测试的准确性和局限性,并为后续决策提供参考依据。在医学诊断中,ROC曲线的应用可以帮助选择最优的诊断方法和阈值,从而提高诊断的准确性。

免流量费下载资料----在经管之家app可以下载论坛上的所有资源,并且不额外收取下载高峰期的论坛币。
涵盖所有经管领域的优秀内容----覆盖经济、管理、金融投资、计量统计、数据分析、国贸、财会等专业的学习宝库,各类资料应有尽有。
来自五湖四海的经管达人----已经有上千万的经管人来到这里,你可以找到任何学科方向、有共同话题的朋友。
经管之家(原人大经济论坛),跨越高校的围墙,带你走进经管知识的新世界。
扫描下方二维码下载并注册APP
您可能感兴趣的文章
人气文章
2.转载的文章仅代表原创作者观点,与本站无关。其原创性以及文中陈述文字和内容未经本站证实,本站对该文以及其中全部或者部分内容、文字的真实性、完整性、及时性,不作出任何保证或承若;
3.如本站转载稿涉及版权等问题,请作者及时联系本站,我们会及时处理。




